✨Bồi Dưỡng Năng Lực Toán 8 - Tập 1













Bồi Dưỡng Năng Lực Toán 8 - Tập 1
Bắt đầu từ năm học 2023-2024 học sinh lớp 8 học theo chương trình sách giáo khoa mới. Sách giáo khoa mới nhấn mạnh đến rèn luyện tinh thần tự học của học sinh. Nội dung nhấn mạnh đến tính thực tế và ứng dụng toán học trong đời sống. Ngoài ra còn có một số dạng toán mới mà sách cũ không có.
Cấu trúc sách gồm:
A. Tóm tắt lý thuyết: lý thuyết được tóm tắt ngắn gọn, dễ hiểu
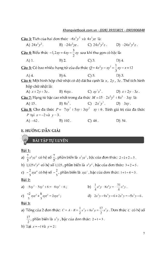
B. Các dạng toán: Các dạng toán được giải chi tiết và có lời bình
C. Bài tập tự luyện: Các dạng bài tập trọng tâm từng bài được sắp theo thứ tự từ dễ đến khó để học sinh rèn luyện
D. Bài tập trắc nghiệm: các câu hỏi trắc nghiệm quan trọng học sinh cần giải để hiểu bài tốt nhất
E. Hướng dẫn giải bài tập tự luyện - Bài tập trắc nghiệm




Hãy thử tưởng tượng thế giới xung quanh chúng ta giống như một căn nhà. Khi đó, khoa học chính là sức mạnh ẩn giấu bên trong ngôi nhà của bạn. Nó giúp ngôi nhà
Sách khổng lồ mở ra thế giới bí ẩn trong đêm Bạn vẫn cho rằng những con phố nơi thành thị hay vùng quê hoàn toàn yên tĩnh và hiu quạnh khi đêm xuống? Bạn
Sách Khổng Lồ Mở Ra Thế Giới Bí Ẩn Trong Đêm Nhà xuất bản : Nhà Xuất Bản Thanh Niên. Công ty phát hành : Đinh Tị Books. Tác giả : Jiri Franta. Kích thước
STAY POSITIVE - SỐNG TÍCH CỰC, ĐỜI HẾT BỰC “Ta lạc quan không phải vì cuộc sống dễ dàng, mà ta lạc quan vì đời còn nhiều trắc trở.” - Jon Gordon Stay Positive -
Bạn Chỉ Cần Sống Tốt, Trời Xanh Tự An Bài Chẳng phải có ai đó đã từng nói rằng: Trên đời này, ta thường quên mất việc của bản thân, thích xen vào việc của
SÁCH: NHỮNG BÀI HỌC DẠY CON QUÝ GIÁ TỪ NGƯỜI XƯA B115 Tác giả : Hầu Bảo Đạt Dịch giả :Đỗ Thủy Hạnh Nhà xuất bản: Phụ Nữ Kích thước : 16 x 23 cm
Mã hàng: 8936203364385 Nhà cung cấp: Đông A Nhà xuất bản: NXB Văn Học Tác giả: Lewis Carroll Dịch giả: Lê Thị Oanh Năm xuất bản: 2024 Số trang: 324 Trọng lượng: 300g Kích thước:
Mã hàng: 8936203364408 Nhà cung cấp: Đông A Nhà xuất bản: NXB Văn Học Tác giả: Jonathan Swift Dịch giả: Đỗ Đức Hiểu & Phan Thái Năm xuất bản: 2024 Số trang: 345 Trọng lượng:
Nghệ Thuật Giao Tiếp Ứng Xử Trong cuộc sống sôi động ngày nay, nhu cầu giao tiếp ngày càng trở nên bức thiết, quan hệ giao tiếp cũng ngày càng trở nên phức tạp. Nghiên
Trên thực tế, tôi không biết rằng các “dấu chấm” sẽ nối lại với nhau như thế nào. Thứ duy nhất tôi biết chắc chắn là tôi thấy thỏa mãn khi có thể hoàn thành
Tu Tâm Sửa Tính Trong thiền có câu “Tâm bình, thế giới bình”. Khi thế giới bên ngoài đồng thuận với những gì ta mong ước, tâm hồn ta luôn nhẹ nhàng, thoải mái. Thế
Học Sâu - Một Cải Tiến Đơn Giản Có Thể Biến Đổi Việc Dạy Và Học Ở Trường Một Cải Tiến Đơn Giản Có Thể Biến Đổi Việc Dạy Học Kieran Egan là một nhà
Tuổi Trẻ Dùng Để Làm Gì? Những bài viết trong cuốn sách này là những trải nghiệm của bản thân tôi cũng như những trăn trở mỗi ngày của tôi với một mong mỏi: giúp
Nghệ Thuật Đọc Vị Bất Kỳ Ai - Biết Người Biết Ta - Trăm Trận Trăm Thắng Bạn đang muốn đọc được những gì mọi người đang nghĩ về bạn? Muốn làm quen với người
Lòng Tốt Của Bạn Cần Thêm Đôi Phần Sắc Sảo 2 Nhà xuất bản : Nhà Xuất Bản Hà Nội. Công ty phát hành : Nhã Nam. Tác giả : Mộ Nhan Ca. Kích thước
“Cuộc đời này sẽ không vì bạn là con gái mà đối xử nhẹ nhàng.” Cô gái à, trên đời này có những thứ rất quan trọng mà chúng ta phải cần phải nắm bắt
Genz Trong Kỷ Nguyên Số - Định Hướng Tương Lai Như Thế Nào?
trăn trở CỦA những MẸ khi dùng ĐIỀU HÒA Phòng ngủ nhỏ sở hữu 15m2 mà điều hòa THỔI THẲNG VÀO GIƯỜNG NGỦ. không bật điều hòa thì hot mà bật thì sợ thổi thẳng
Điều hòa, máy lạnh không khí dường như là trang bị không thể thiếu trong mỗi không gian gia đình, văn phòng hiện nay. Tuy nhiên việc ngồi lâu dưới gió điều hòa thổi trực
THÔNG TIN SẢN PHẨM: ️Kích thước : Đường kính 98cm, cao 68cm ️Khi gập vào cao 28cm ️Màu sắc: đen, xanh than, xanh nước biển, rêu ĐẶC TÍNH SẢN PHẨM: - Chiếc ô Được phủ
Mình Thấy Gì Khi Ngước Nhìn Trời Xanh? Nhà xuất bản : Nhà Xuất Bản Lao động. Công ty phát hành : Chibooks. Tác giả : Quốc Thái. Kích thước : 20.5 x 14.5 x
Tác giả: Trịnh Sâm Khổ sách: 14x20cm Số trang: 278 Giá bán: 105,000 VNĐ ISBN: 978-604-1-20911-4 In lần thứ 4 năm 2022 NXB: NXB Trẻ NPH: NXB Trẻ Giới thiệu tóm tắt tác phẩm: Gồm
Cho Phép Mọi Chuyện Xảy Ra Mỗi chúng ta đều từng đối mặt với những ràng buộc và giằng co trong gia đình ruột thịt, dao động và trao nhầm trong tình yêu, thất bại
Tập Thơ Dòng Sông Không Vội Dường như đối với Khánh, thơ là “những giọt buồn biết bay”. Khi nói thế, cái buồn không còn dừng lại ở những gì cá biệt nữa mà bay
Sống Thật Để Thật Sự Sống Người ta nói học cách buông bỏ và tu rèn chánh niệm để hạnh phúc. Nhưng ta cũng đâu thể cứ thế mà gạt đi những lo âu của
Lập Thân Yếu Chỉ Nếu như không phải vì đặc thù của thời cuộc ngày nay thì cuốn sách này đã hoàn toàn không cần thiết phải được viết ra. Theo lời giảng của các
Hãy Nghe Con Nói “Con nhà người ta có thể nhớ, tại sao con lại không nhớ được?” “Con nhà người ta có thể tính đúng, tại sao con lại tính sai?” “Con nhà người
Bạn có biết rằng, chúng ta đang bỏ qua những chi tiết quan trọng của tất cả sự việc diễn ra hằng ngày? Chúng ta chậm trễ hơn mọi người trong việc đưa ra ý
Bạn có nhận thấy thành công nghề nghiệp, những mối quan hệ cá nhân, những cơ hội thăng tiến và thu nhập của bạn phụ thuộc nhiều đến thế nào vào khả năng thuyết phục,
Mô tả: Thói Quen Của Kẻ Thắng (Tái Bản 2018) Có một câu chuyện về bức tượng David như thế này: Chuyện kể rằng có một khối đá cẩm thạch lớn đã nằm trên một
Khám Phá Thế Giới Động Vật Kì Thú: Thế Giới Của Những Loài Động Vật Sát Thủ (Tái Bản 2021)
Khám Phá Thế Giới Động Vật Kì Thú - Thế Giới Của Những Loài Động Vật Sát Thủ Nhà xuất bản : Nhà Xuất Bản Phụ Nữ. Công ty phát hành : NXB Phụ Nữ.
AI và robot xuất hiện trong mọi khía cạnh, từ nhận dạng khuôn mặt trên điện thoại thông minh đến quản lý nền kinh tế toàn cầu. Chúng có ý nghĩa ra sao với cuộc
Thuật Quản Lý Thời Gian Tên Nhà Cung Cấp: Alpha Books Tác giả: Brian Tracy NXB: Thế Giới Năm XB: 2023 Kích Thước: 20.5 x 13 x 0.6 cm Số trang: 180 Hình thức: Bìa
Mô tả sản phẩm Nghệ Thuật PR Bản Thân (Tái Bản 2018) Tôi muốn viết một cuốn sách hướng dẫn cho người mới bắt đầu về cách làm việc này: cuốn sách dành cho những
Khám Phá Thế Giới Động Vật Kì Thú: Thế Giới Của Các Loài Vật Kì Quái (Tái Bản 2021)
Nghệ thuật trong 30 giây (Susie Hodge): Con người đã sáng tạo nghệ thuật trong suốt hàng nghìn năm. Họ điêu khắc, vẽ, in, tạo ra những tác phẩm từ nhỏ xíu đến đồ sộ,
Khám Phá Thế Giới Động Vật Kì Thú - Thế Giới Của Các Loài Vật Kì Quái Nhà xuất bản : Nhà Xuất Bản Phụ Nữ. Công ty phát hành : NXB Phụ Nữ. Tác
Sách - Combo hướng dẫn học & phương pháp giải toán lớp 7 (bám sát sách giáo khoa chân trời sáng tạo bộ 2 cuốn) Bộ sách gồm có: Hướng Dẫn Học & Phương Pháp
Bồi Dưỡng Học Sinh Giỏi Toán 9 (Luyện Thi Vào Lớp 10) Sách nhằm góp thêm vào tủ sách của bạn đọc một tài liệu bồi dưỡng học sinh giỏi lớp 9 và luyện thi
Những Bài Văn Nghị Luận Đặc Sắc 9 - HA Bộ sách "Những bài văn Nghị luận đặc sắc" này hướng về đọc giả là các em học sinh lớp 9 THCS. Cuốn sách gồm
Sách - Chữa Lành Đứa Trẻ Bên Trong Bạn Công ty phát hành Thái Hà Tác giả Charles Whitfield Ngày xuất bản 03-2019 Kích thước 15 x 23 cm Nhà xuất bản NXB Lao Động
A ra đời trong một nhà xe, kế bên một chiếc lò sưởi cũ kỹ, gần hiệu sách Barnes & Noble. Với người sáng lập Jeff Bezos, Amazon đã bền bỉ vượt qua thời kỳ
Dẫn Lối Ngôn Từ Nhà xuất bản : Nhà Xuất Bản Dân Trí. Công ty phát hành : Saigon Books. Tác giả : Dana Norris. Kích thước : 14 x 20.5 cm. Số trang :
Nghệ Thuật Tập Trung: Nâng Cao Năng Suất, Tối Ưu Thời Gian, Hiệu Quả Bất Ngờ Nhà xuất bản : Nhà Xuất Bản Thế Giới. Công ty phát hành : Vibooks. Tác giả : DaiGo.
Tác giả: Nhiều tác giả Dịch giả: Thúy Thúy Khổ sách: 13x20,5cm Số trang: 284 Giá bán: 110,000 VNĐ ISBN: 978-604-1-23318-8 In lần thứ 1 năm 2023 NXB: NXB Trẻ NPH: NXB Trẻ Giới thiệu
Bí Kíp Đối Mặt & Khắc Phụ Nguy Cơ, Rủi Ro Dành Cho Lãnh Đạo Cuốn sách được biên soạn dựa trên nội dung bài giảng với đề tài “Bí quyết vượt qua khủng hoảng”
Ủaaa Emm?! Đi Làm Roy Hả? Nhà xuất bản : Nhà Xuất Bản Dân Trí. Công ty phát hành : Wavebooks. Tác giả : Insight Mất Lòng. Kích thước : 13 x 13 cm. Số
Ý Nghĩa Cuộc Đời – Vanlangbooks 1,Giới thiệu sách “Tri thức uyên thâm của một nhà tâm lý trị liệu khôn ngoan được thể hiện khi nhìn lại sự nghiệp của mình, một tác giả
Được Rồi, Bay Thôi! - Du Học Sao Cho Không Nhọc Nhà xuất bản : Nhà Xuất Bản Thế Giới. Công ty phát hành : Wavebooks. Tác giả : Phan Quốc Dũng. Kích thước :
Giao Tiếp Tốt Hơn, Gắn Kết Bền Hơn Nhà xuất bản : Nhà Xuất Bản Thanh Hóa. Công ty phát hành : Văn Lang. Tác giả : Ian Tuhovsky. Kích thước : 13.5 x 20.5
Sức Mạnh Của Sự Tiêu Cực Nhà xuất bản : Nhà Xuất Bản Thế Giới. Công ty phát hành : Vibooks. Tác giả : Sarah Knight. Kích thước : 14 x 20 x 1 cm.
Mã hàng: 5001010009392 Nhà cung cấp: Đông A Nhà xuất bản: Dân Trí Tác giả: Deborah Underwood biên soạn - Renata Liwska minh họa Năm xuất bản: 2023 Số trang: 32/cuốn Trọng lượng: 200gr/cuốn Kích
20 Tuổi - Bạn Chọn An Nhàn Hay Phấn Đấu? Nhà xuất bản : Nhà Xuất Bản Văn Học. Công ty phát hành : Bluebooks. Tác giả : Akinori Kanagawa. Kích thước : 13 x
Quẳng Gánh Lo Đi Và Vui Sống (Sách Alphabooks) Nhà xuất bản : Nhà Xuất Bản Dân Trí. Công ty phát hành : Omega Plus. Tác giả : Dale Carnegie. Kích thước : 20.5 x
Nhiều người vẫn cho rằng hành thiền là phải ngồi thiền. Ngồi thiền để nhập định và đi vào một cảnh giới khác. Trong Phép lạ của sự tỉnh thức, thiền sư Nhất Hạnh nói
Làm Thế Nào Để Ôm Một Chú Nhím? TÌM THẤY PHIÊN BẢN TỐT HƠN CỦA CHÍNH MÌNH QUA LĂNG KÍNH TÌNH YÊU “Bạn là người thế nào sẽ gặp được người thế ấy”. Cách chúng
Sống Hài Hòa Với Cảm Xúc (Tái bản năm 2022) Nhà xuất bản : Nhà Xuất Bản Thế Giới. Công ty phát hành : Phương Nam Book. Tác giả : Jigme Rinpoche. Kích thước :
Cuốn sách này dành tặng cho những người theo đuổi sứ mệnh cuộc đời mình. Hi vọng bạn sẽ không chỉ sống một cuộc đời trọn vẹn mà còn tận hưởng hanh phúc trên suốt
Không Cần Được Lòng Tất Cả Mọi Người Nhà xuất bản : Nhà Xuất Bản Thanh Niên. Công ty phát hành : Bookland. Tác giả : Lee Pyeong. Kích thước : 13.5 x 20.5 cm.
👁️ 36 | ⌚2025-09-23 20:30:02.491


Dụng cụ nâng, di chuyển vật nặng đồ đạc thông minh bằng bộ con lăn hỗ trợ Dụng cụ nâng và hỗ trợ di chuyển đồ đạc thông minh Bị thoát vị đĩa đệm hay
Cuốn sách gồm 29 bước trong hành trình Nâng cao sự tự tin: “ Chữa lành nội tâm, chống lại nghịch cảnh” nổi bật như: Sự tự tin là gì và vì sao nó quan
“Hội chứng rối loạn phân li tập thể” là từ ngữ được cánh truyền thông sử dụng khi đề cập đến chuỗi các sự kiện kì bí khó lí giải liên tục xảy ra trong
Chuyện Tình Cửu Long - Tập 10 Những bí ẩn xung quanh cái ch.ết của Kujirai B dần được vén màn. Trong quá khứ, cô và Kudo hẹn hò rất hạnh phúc, thậm chí Kudo
Jean Henri Casimir Fabre là một nhà tự nhiên học, nhà côn trùng học và tác giả người Pháp được biết đến qua những cuốn sách nổi tiếng với phong cách sống động về đời
Montessori Thế Giới Của Các Thành Tựu - Cuốn Sách Đầu Tiên Về Thế Giới Dành Cho Trẻ Nhà xuất bản : Nhà Xuất Bản Phụ Nữ. Công ty phát hành : NXB Phụ Nữ.
Hãy thử tưởng tượng thế giới xung quanh chúng ta giống như một căn nhà. Khi đó, khoa học chính là sức mạnh ẩn giấu bên trong ngôi nhà của bạn. Nó giúp ngôi nhà
Sách khổng lồ mở ra thế giới bí ẩn trong đêm Bạn vẫn cho rằng những con phố nơi thành thị hay vùng quê hoàn toàn yên tĩnh và hiu quạnh khi đêm xuống? Bạn
Úm Ba La Hóa Ra Thần Đồng - Thế Giới Đại Dương Bộ truyện tranh cung cấp kiến thức khoa học bổ ích cho bé. Giai đoạn đầu tiên làm quen với thế giới, bé
Sách - Hệ Thống Câu Hỏi Địa Lý 12 Theo Chủ Đề - Tác giả: Vũ Thị Ngọc Phước - Nhà xuất bản: NXB Dân Trí - Năm xuất bản: 2023 - Số Trang: 241
Thành phố Sư tử. Cường quốc châu Á. Xứ sở đa văn hóa. Thánh địa mua sắm. Thiên đường ẩm thực. Là một đảo quốc của những cao ốc sáng loáng và rừng mưa nguyên
Sách Khổng Lồ Mở Ra Thế Giới Bí Ẩn Trong Đêm Nhà xuất bản : Nhà Xuất Bản Thanh Niên. Công ty phát hành : Đinh Tị Books. Tác giả : Jiri Franta. Kích thước
Khi bước vào giai đoạn khủng hoảng đầu đời, các bạn nhỏ sẽ có nhiều phản ứng tiêu cực, thiếu sự hợp tác, đôi khi không kiểm soát được cảm xúc, hành vi… Đây chính
Từ các đền chùa và cung điện lộng lẫy cho tới các quán cà phê và quán bar thời thượng, Bắc Kinh có các địa điểm tuyệt vời để khám phá. Chỉ trong hơn ba
Quyển sách này dành cho những ai quan tâm đến quá trình phát triển và cải biến bản thân, chăm sóc sức khỏe thân thể, tâm lý và tâm linh của mình. Tất cả những
Ưu điểm của combo Mua hay bán khéo: - Giúp kích thích tư duy sáng tạo cho bé: Kích thích tư duy sáng tạo của bé thông qua việc tự tạo ra những gian hàng
Dành cho cô giáo, mẹ và bé tự làm đồ chơi. Mặt nạ dành cho bé : tập cho bé cầm kéo, rèn luyện đôi tay khéo léo, tập cho bé tính kiên nhẫn, rèn
Cuốn sách Tính toán thiết kế hệ dầm sàn thép được dùng làm tài liệu giảng dạy, học tập cho giảng viên, sinh viên ngành kỹ thuật xây dựng đồng thời dùng làm tài liệu
MÔ TẢ SẢN PHẨM Nhà phát hành: Công ty Văn Hóa Việt Thư Tác giả: Louis Ben Nhà xuất bản: NXB Phụ Nữ Việt Nam Năm xuất bản: 2024 Số trang: 14 trang Loại bìa:
sách Lịch dùng trong 1 năm Bính Ngọ 2026 Lịch Tam Tông Miếu là bộ lịch phát triển dựa theo vũ trụ quan và những triết lý tốt đẹp trong cuộc sống hàng ngày. Nội dung của