✨Sách - Toán Nâng Cao Đại Số 9 - Dùng Chung Các Bộ SGK Hiện Hành - Nguyễn Thiện Chí - Hồng Ân









Sách - Toán Nâng Cao Đại Số 9 - Dùng Chung Các Bộ SGK Hiện Hành Đại số là mảng kiến thức rất quan trọng trong toán học phổ thông. Nhằm giúp các em học sinh lớp 9 ôn thi vào lớp 10 THPT cũng như các em học sinh chuyên Toán có một tài liệu mang tính hệ thống để ôn luyện, nâng cao kiến thức kỹ năng giải toán và đạt kết quả cao nhất trong các kỳ thi Học sinh giỏi, kỳ thi Tuyển sinh vào lớp 10 cũng như thi vào các lớp chuyên, tôi biên soạn cuốn sách này. Chương 1. Căn bậc hai Chương 2. Hệ phương trình bậc nhất Chương 3. Phương trình bậc hai Chương 4. Ôn tập toàn năm
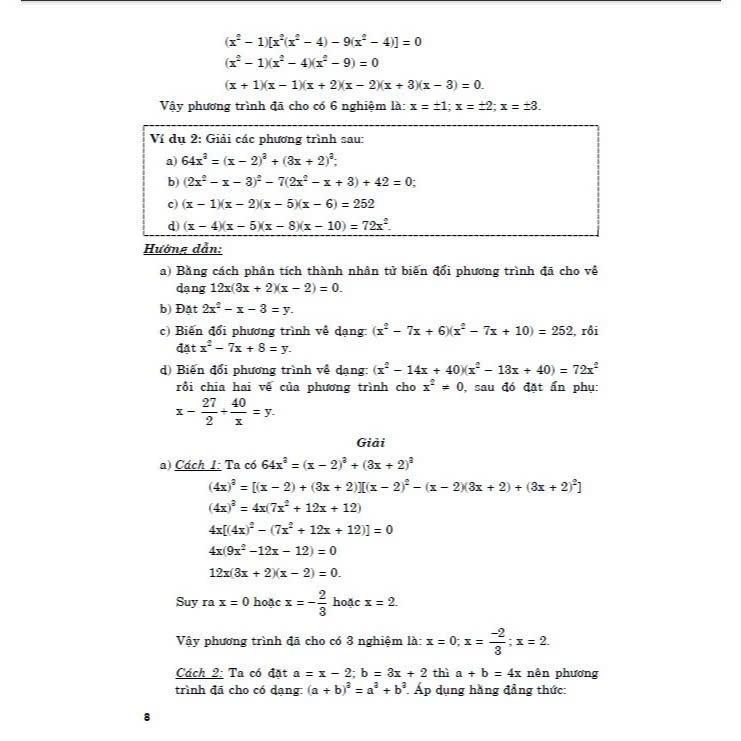
Nhà Phát Hành: Nhà Sách Hồng Ân Nhà Xuất Bản: NXB Đại Học Sư Phạm Tác Giả: Nguyễn Thiện Chí Hình Thức: Bìa Mềm Số Trang: 266 Kích Thước: 16 x 22 cm Ngày Xuất Bản: 2024




Cuốn sách bán chạy nhất Đài Loan năm 2017 này sẽ giúp bạn thoát khỏi chiếc bẫy vô hình mang tên "thao túng cảm xúc". Thao túng cảm xúc là gì? Đó là khi đối
Giới thiệu sách: những đứa trẻ chưa lớn Giữa dòng đời tất bật bôn ba, hẳn sẽ có lúc chúng ta nhìn lại và chợt ngẫm: “Hoá ra làm người lớn mệt mỏi đến vậy,
Trong những ngày tháng sống trên đời, chúng ta luôn lo lắng nếu mình không làm gì đó, thì sẽ bị người khác vượt qua, bị thời đại bỏ lại. Nhưng thật ra, đời người
Nghệ Thuật Tổng Kết ------------ Đã bao giờ bạn nhìn thấy những tấm gương tài năng, thành đạt khi tuổi đời còn rất trẻ và tự hỏi: “Tại sao mình chưa có được thành
OCD THÌ SAO, MÀY VẪN ỔN, ĐỪNG LO LẮNG! Jason Adam Katzenstein – họa sĩ vẽ tranh cho Tạp chí New Yorker cố gắng sống một cuộc đời bình thường nhưng lại liên tục bị
Time Management Ninja - 21 Quy Tắc Cơ Bản Để Quản Lý Thời Gian. Bạn không hề đơn độc khi có cảm giác rằng mình không có đủ thời gian trong ngày. Trên thực tế,
Phương Pháp Nuôi Dưỡng Kỷ Luật Tự Giác Ở Trẻ Tại sao các bạn lại muốn sở hữu cuốn sách này? Là vì mỗi ngày các bạn phải bực bội, hay phải la hét
Chủ Nghĩa Khắc Kỷ - Nuôi Dưỡng Sự Tích Cực, Sống Cuộc Đời Đẹp Nhất ------------ Làm thế nào để giữ cho mình một tâm thái bình thản trước mọi giông bão cuộc đời?
Nghệ Thuật Tổng Kết - AZ ------------ Đã bao giờ bạn nhìn thấy những tấm gương tài năng, thành đạt khi tuổi đời còn rất trẻ và tự hỏi: “Tại sao mình chưa có
Mình Là Cá, Việc Của Mình Là Bơi Đã bao nhiêu lần bạn tự hỏi về sự tồn tại của bản thân trên thế giới này? Đã bao nhiêu lần bạn thấy mình chìm trong
Được mệnh danh là “người chữa bệnh bằng văn chương”, bác sĩ Đỗ Hồng Ngọc không chỉ là “người nhà” của Phương Nam với các ấn phẩm liên tiếp gần đây như: Thiền & Sức
Ba người thầy vĩ đại (Tái bản) ------------ “Tôi đã nếm trải nhiều thất bại trong hành trình đi qua những tháng ngày của mình. Thế nhưng, mỗi chướng ngại cuối cùng đều lại
Khi anh bạn đồng nghiệp Angus - kẻ lập dị của khoa luật - thuyết phục Nat cùng đến dạy trong lớp học pháp lý tại một nhà tù địa phương, thế giới dù không
CHUYỆN BUỒN CHỈ LÀ CHUYỆN CỎN CON Trong kỷ nguyên đang phát triển nhanh một cách chóng mặt, việc được “sống là chính mình” trở nên khó khăn hơn bao giờ hết. Mỗi sáng thức
Để đáp ứng yêu cầu đổi mới cách đánh giá học sinh trong môn Ngữ văn cấp THPT - Chương trình GDPT 2018 (tránh dùng lại các văn bản đã học trong sách giáo khoa
Chuẩn Bị Cho Bé Vào Lớp Một (Bộ 10 Cuốn) Ở lứa tuổi mẫu giáo, bé bắt đầu tìm hiểu về thế giới vạn vật xung quanh, đây cũng là độ tuổi phát triển nhanh
Bộ sách phát triển IQ (chỉ số thông minh) bao gồm: -Phát Triển Tư Duy Logic IQ - Thử Trí Thông Minh -Phát Triển Tư Duy Logic IQ - Đố Vui Đoán Giỏi -Phát Triển
Vào đầu thập niên 1980 ở Nhật Bản, sức khỏe tâm thần của người dân trở nên kém đi và tỷ lệ tự tử tăng vọt. Lo lắng cho phúc lợi của người dân, chính
Đừng Gọi Em Là Ký Ức Những tháng ngày ấy, có thể chúng ta đã rất vất vả, nhưng chúng ta vẫn rất biết ơn cuộc đời, vì nhờ những gian khó ấy, ta mới
Đạo Lý Làm Người Đạo lý trong cuộc đời con người cũng giống như chiếc la bàn khi chúng ta đang đi thuyền trên biển. Nếu không có sự chỉ dẫn của nó, con người
Ba Người Thầy Vĩ Đại “Tôi đã nếm trải nhiều thất bại trong hành trình đi qua những tháng ngày của mình. Thế nhưng, mỗi chướng ngại cuối cùng đều lại chính là một bàn
CHUYỆN BUỒN CHỈ LÀ CHUYỆN CỎN CON Trong kỷ nguyên đang phát triển nhanh một cách chóng mặt, việc được “sống là chính mình” trở nên khó khăn hơn bao giờ hết. Mỗi sáng thức
Vươn Lên Hoặc Bị Đánh Bại Cuốn sách này có thể coi là cuốn sách thứ ba mà tôi viết. Khi bắt tay vào viết, tôi luôn tự hỏi bản thân một câu hỏi: Nếu
Combo Sách Kỹ Năng Hoàn Thiện Bản Thân: Tìm Kiếm Cái Tôi Hoàn Thiện Nhất Của Bạn - Chủ Động Trong Các Mối Quan Hệ + Nghĩ, Nói, Trưởng Thành Và Làm Nên Sự Nghiệp
Bài Tập Tiếng Anh Lớp 7 (Có Đáp Án) The Langmaster - Bài Tập Tiếng Anh Lớp 7 được biên soạn dựa vào phương pháp dạy ngôn ngữ giao tiếp (Communicative Language Teaching Method), sách tập
Một chàng trai trẻ bị đâm đến chết vì những con cá quý giá của mình. Một ông trùm châu Á mua con cá rồng độc nhất vô nhị với giá 150.000 đô la. Một
Dẫu ta luôn khao khát có được những câu trả lời rõ ràng cho muôn vàn rắc rối cuộc đời, hiếm khi nào ta có được chúng. Trong cuốn sách này, Marc Lesser cho người
Tuổi Ấy Mình Yêu Hồi ức về Hà Nội, “tuổi mình” thuộc thế hệ 6x, 7x. Chuyện của thế hệ ấy tức là vừa đi qua chiến tranh. Hà Nội với biệt thự Pháp sang
Các nhà nữ quyền luôn than vãn rằng phụ nữ đang bị đối xử bất bình đẳng trong mọi môi trường làm việc. Kẻ bị kết án trong câu chuyện này, tất nhiên, là đàn
Một ý niệm về nỗi buồn là một cuốn sách hoàn toàn mới về một vấn đề mà nhiều người còn mơ hồ. Cuốn sách trở nên nổi tiếng toàn cầu sau khi được thành
“Chúng ta thả lưỡi câu xuống đại dương ngôn ngữ mênh mông và thăm thẳm, hy vọng có thể câu lên những ngôn từ phù hợp và cần thiết cho mình…” Tục ngữ trao cho
Mã hàng 8936067609653 Tên Nhà Cung Cấp Minh Long Tác giả Chu Đàn Người Dịch Phương Linh NXB Văn Học Năm XB 2024 Trọng lượng (gr) 310 Kích Thước Bao Bì 20.5 x 15
Thế Nào Và Tại Sao - Robot Những Bộ Óc Siêu Việt Và Những Trợ Thủ Đắc Lực Cho dù dưới dạng xe tự hành trên sao hỏa hoặc tàu ngầm dưới đáy biển
Thí Nghiệm Đầu Hàng - Hành Trình Tuân Theo Sự Hoàn Hảo Của Dòng Đời Cốt lõi của Thí nghiệm đầu hàng là một câu hỏi đơn giản: Liệu ta sẽ sống tốt hơn khi
Trên tay các em là cuốn sách “ Tìm Hiểu Về: Cơ Thể Người ”. Những hình ảnh sinh động cùng những thí nghiệm trực quan giúp các em dễ dàng tiếp cận với các kiến thức
Giải đáp giúp các trẻ, đang muốn tìm hiểu khám phá về “Ngôi nhà Trái đất” thông qua cuốn sách này bé được khám phá Trái đất của chúng ta, tuổi của Trái đất đến
Rất nhiều người có quan niệm sai lầm rằng toán học là khô khan, buồn chán, thậm chí là vô dụng, xa vời cuộc sống. Giá như họ được đọc cuốn sách “Đại Số Vui”
Sống Vì Mình Bạn có cảm thấy bất hạnh không? Bạn có cảm thấy bị đối xử tàn tệ không? Bạn có xu hướng nỗ lực rất nhiều trong mối quan hệ không? Bạn
Xã hội giống như một ván cờ mà ở đó, một nước đi dù sai lầm hay đúng đắn sẽ trực tiếp ảnh hưởng đến tất cả những lựa chọn tiếp theo. Con người là
Giữa chốn hỗn độn nơi công sở, làm thế nào để ta cả thiện những mặt tích cực như sự thành công, sáng tạo, thử thách và niềm vui khi tham gia vào một nỗ
Làm Thế Nào Để Kết Giao Với Người Lạ Trong cuộc sống và công việc hằng ngày, chúng ta thường phải làm quen với những người bạn mới, giao tiếp với những người lạ, đàm
Nếu đắc nhân tâm là cuốn sách kinh điển giúp bạn thay đổi cuộc đời và đưa bạn đến thành công, thì "Quẳng gánh lo đi và vui sống" chính là
Mặt Dày Tâm Đen – Nhân Viên Khéo Léo Tỏa Sáng Chốn Văn Phòng ------------ Nhân viên khéo léo tỏa sáng chốn văn phòng Công sở là một xã hội thu nhỏ, nhân viên
Tâm Lý Học Nói Gì Về Những Mã F TÂM LÝ HỌC NÓI GÌ VỀ NHỮNG MÃ F - “Chúng ta vẫn có thể mắc trầm cảm dù không có lý do đặc biệt
6 bước chào ngày mới để biến đại học thành năm tháng thanh xuân rực rỡ nhất. Bạn sẽ được học hỏi từ cuốn sách này: Kỹ thuật phao cứu sinh – LIFE S.A.V.E.R.S để
Sách Kỹ Năng Sống: Bí Quyết Đọc Tâm (Tái Bản 2018) - (Cuốn Sách Đọc Vị, Thấu Hiểu Người Khác Chỉ Trong Giây Lát / Tặng Kèm Postcard Greenlife) Có người nói, ngày nay chính
Những "công dân toàn cầu" mang những nét đặc trưng nào? Họ có sinh hoạt, làm việc, và hành xử theo các chuẩn mực khác biệt của riêng một cộng đồng mang đẳng cấp cao?
Đường Nào Cũng Trong Lòng Bàn Tay Bàn tay nhỏ bé của con người có thể làm được những gì? Có thể lật giở trang sách để tiếp thu tri thức, làm giàu tâm hồn.
Bức Tường Trong Chai Tequila Nhà xuất bản : Nhà Xuất Bản Hội Nhà Văn. Công ty phát hành : Phương Nam Book. Tác giả : Trần Băng Khuê. Kích thước : 12 x 20
Công ty phát hành NXB Trẻ Tác giả: Lý Quí Trung Ngày xuất bản 2021 Kích thước 13 x 20.5 cm Loại bìa Bìa mềm Số trang 248 Nhà xuất bản NXB Trẻ
Dám Sống Một Cuộc Đời Rực Rỡ Nhà xuất bản : Nhà Xuất Bản Văn Học. Công ty phát hành : Người Trẻ Việt. Tác giả : Hoàng Anh Tú. Kích thước : 13 x
Đây là đứa con tinh thần thứ hai của tác giả Phạm Minh Mẫn sau cuốn “Mình đang sống cuộc đời của ai?” ra mắt vào tháng 3 năm 2021. Lần này chàng trai 8X
Ngày nay những cá nhân sáng tạo và tập thể của họ đang là nguồn động lực mới cho sự phát triển kinh tế, mang đến sự thịnh vượng cho các công ty và các
Bạn đã bao giờ đạt được một điều gì đó trong đời mà bạn cảm thấy rất tự hào, nhưng rồi người khác làm theo và làm tốt hơn bạn, cảm giác như bạn bị
Bản tư liệu quý giá, giới thiệu 18 lá thư của các nhà lãnh đạo giáo dục cao cấp của 18 quốc gia gửi tới những người kế nhiệm Thay đổi để giáo dục trở
Như Francois Arago từng nói, Thiên văn học là một ngành khoa học tốt số bởi bản thân nó không cần ai tô vẽ gì thêm. Những thành tựu của Thiên văn học hấp dẫn đến nỗi
Einstein Bỏ Túi - 10 Bài Học Ngắn Về: Du Hành Thời Gian Công Ty Phát Hành: Alpha Books (*** Sách Bản Quyền ***) QUYỀN LỢI KHÁCH HÀNG - Đảm bảo 100% sách gốc bản quyền
Big 4 Bộ Đề Tự Kiểm Tra 4 Kỹ Năng Nghe – Nói – Đọc – Viết (Cơ Bản và Nâng Cao) Tiếng Anh Lớp 9 Tập 2 Big 4 Bộ Đề Tự Kiểm Tra
Nếu bạn cảm thấy mất cân bằng và ý thức rõ rằng tình trạng hiện giờ sẽ không kéo dài lâu. Nếu bạn có một sự nghiệp đang lên nhưng không muốn bỏ mặc các
Sách Kỹ Năng Sống Và Làm Việc - Bản Kế Hoạch Thay Đổi Định Mệnh (Tái Bản 2017) MỘT ỨNG DỤNG CHO CUỘC ĐỜI BẠN “Bước đầu để đến được một nơi nào đó là
👁️ 27 | ⌚2025-09-27 18:30:02.515


The Little Book Of World Religions - Những Tôn Giáo Trên Thế Giới Các tôn giáo trên thế giới vô cùng đa dạng với những hình thức thờ tự và niềm tin khác nhau. Tôn
Tuyển Chọn 199 Bài Và Đoạn Văn Hay 8 (Theo Chương Trình Giáo Dục Phổ Thông Mới) Để học tốt môn Ngữ Văn, ngoài bài học trên lớp, các em nên tham khảo thêm một
270 Đề Và Bài Văn Hay Lớp 8 Để học sinh có thể phát huy tính chủ động trong việc học, bên cạnh sự có mặt của giáo viên, các loại tài liệu tham
Dịch giả: 1980Books; Ngày xuất bản: 09-2020 Kích thước: 24 x 17 cm Nhà xuất bản: NXB Dân Trí Hình thức bìa: Bìa mềm Số trang: 220 Luyện thi olympic khoa học lớp 4 Sách
Chúng ta muốn hiểu được đối phương trước khi họ bắt đầu nói. Chúng ta muốn thấy được động cơ của họ. Chúng ta muốn có thể bảo vệ chính mình. Chúng ta muốn có
Tâm Lý Học Hẹn Hò - Nghệ Thuật Giao Tiếp Trong Tình Yêu Tại Mỹ, chúng ta nghe nói rằng kết cục của hơn một nửa các cuộc hôn nhân là ly hôn. Ở Bồ
Sống Lần Thứ 2
Tập Trung Tâm Trí, Suy Nghĩ Thông Minh, Quyết Định Sáng Suốt Tác giả Daren Bridger, David Lewis NXB NXB Công Thương Năm XB 2022 Ngôn Ngữ Tiếng Việt Trọng lượng (gr) 250 Kích Thước
Cuốn sách cung cấp cho người đọc những phương pháp để đạt đến một cuộc sống thực sự ý nghĩa và trọn vẹn. Dưới ánh sáng của Phật pháp, thi ca, nghệ thuật, khoa học
Mày Vẫn Ổn, Đừng Lo Lắng! - Một Cuốn Sách Về OCD Bằng Chữ Và Tranh Jason Adam Katzenstein – họa sĩ vẽ tranh cho Tạp chí New Yorker cố gắng sống một cuộc đời
Solo Living – Tâm Lý Học Giải Mã Độc Thân Bạn thầm mong một cái quẹt phải trên Tinder có thể giải quyết “vấn nạn độc thân” của m.ình? Bạn dành hết thời gian rảnh
Thao Túng Cảm Xúc - Làm Sao Thoát Khỏi Chiếc Bẫy Vô Hình? Cuốn sách bán chạy nhất Đài Loan năm 2017 này sẽ giúp bạn thoát khỏi chiếc bẫy vô hình mang tên "thao
128 Mẹo Cải Thiện Năng Lực Cho Người Mới Đi Làm - Từ "Amateur" Đến Chuyên Nghiệp Nếu bạn là một người trẻ mới ra trường với “zero” kinh nghiệm trong tay; một người mới
Hội Chứng Bất Hạnh Biến Bạn Thành “Kẻ Độc Hại” HỘI CHỨNG BẤT HẠNH BIẾN BẠN THÀNH “KẺ ĐỘC HẠI” - Nhận diện 14 thói quen tâm lý độc hại ngăn cản bạn trở thành
Lật Tẩy Kẻ Nói Dối - Vén Màn Sự Thật, Nhìn Thấu Điều Kẻ Khác Đang Che Giấu Sự thật là lăng kính giúp chúng ta nhìn nhận thế giới. Càng biết nhiều sự thật,
7 Nguyên Tắc Phát Triển Bản Thân Của Người Thông Minh Trong cung cách đối đãi giữa người với người, chúng ta vẫn thường đặt ra các nguyên tắc ứng xử và áp dụng chúng.
7 Nguyên Tắc Phát Triển Bản Thân Của Người Thông Minh Nhà xuất bản : Nhà Xuất Bản Thế Giới. Công ty phát hành : Vivabooks. Tác giả : Steve Pavlina. Kích thước : 20.5
Giải Mộng - Giải Mã Mối Liên Kết Giữa Trực Giác Và Giấc Mơ Giấc mơ không đơn thuần là những hình ảnh thoáng qua trong tâm trí khi ta say ngủ. Chúng là cánh
Đúng Thời Điểm, Hoa Sẽ Nở “Bất cứ ai trong chúng ta cũng có một thời điểm của riêng m.ình. Ngay cả những khoảnh khắc hoa chưa nở rộ cũng vô cùng đẹp đẽ.” Chúng
Sống Đời Tỉnh Thức Nếu bạn đang mắc kẹt trong lối mòn, hoặc sống một cuộc sống theo thói quen, hằng ngày lặp đi lặp lại những công việc như một cái máy móc, để