✨Vật Lý 10 - Tuyệt Kỹ Các Thủ Thuật Giải Nhanh Tự Luận - Trắc Nghiệm


















Tuyệt Kỹ Các Thủ Thuật Giải Nhanh Vật Lý 10 Sách tham khảo là bạn đồng hành không thể thiếu đối với các em học sinh. Đặc biệt là các em cuối cấp.Để giúp các em trong việc lựa chọn tập hợp các kiến thức và kỹ năng cần thiết cho kỳ thi quốc gia, tôi biên soạn cuốn sách: “TUYỆT KỸ CÁC THỦ THỦ THUẬT GIẢI NHANH VẬT LÝ 10 (Tự luận và trắc nghiệm)” Tôi hi vọng cuốn sách này là tài liệu bổ ích giúp cho các em ôn thi hiệu quả nhất trong kỳ thi quan trọng sắp tới Sách soạn theo chuyên đề:
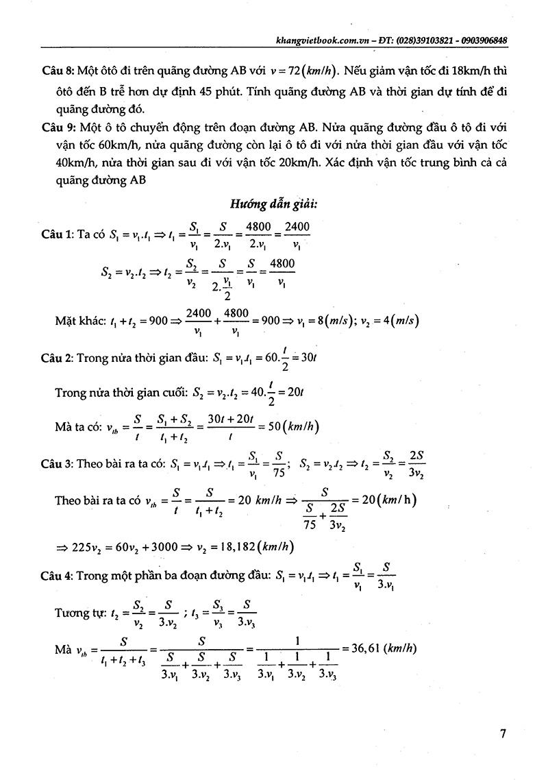
- Tóm tắt lý thuyết và phương pháp giải
- Các dạng bài và hướng dẫn giải chi tiết
- Ôn luyện và hướng dẫn giải toàn chương




Đột Phá Tư Duy Kì Thi Tốt Nghiệp THPT - Môn Sinh Học SÁCH ĐỘT PHÁ TƯ DUY KÌ THI TỐT NGHIỆP THPT MÔN TOÁN Theo cấu trúc định hướng thi mới năm 2025 của
SÁCH ĐỘT PHÁ TƯ DUY KÌ THI TỐT NGHIỆP THPT MÔN VẬT LÍ Theo cấu trúc định hướng thi mới năm 2025 của BGD Với cấu trúc đề thi mới, các dạng câu hỏi mới
+ Chương trình chuẩn kết hợp theo cả 3 bộ sách: Cánh Diều, Kết Nối Tri Thức với Cuộc sống và Chân trời sáng tạo + Hệ thống kiến thức rõ ràng theo 23 chủ
Nội dung gồm có: Chương 1. Vật lí nhiệt Chương 2. Khí lí tưởng Chương 3. Từ trường Chương 4. Phản ứng hạt nhân - Phân hạch và nhiệt hạch Tác giả: Nguyễn
Các em học sinh lớp 12 thân mến! Học là một quá trình rèn luyện vất vả nhất của đời người. Điều gì vất vả mới có được, thì đó chính là điều mình quý
Trong bối cảnh hội nhập quốc tế, việc học ngoại ngữ, đặc biệt là tiếng Anh, trở nên thiết yếu hơn bao giờ hết. Tiếng Anh không chỉ giúp chúng ta nâng cao năng lực
Nội dung gồm có: Chương 1. Dao động cơ Chủ đề 1. Dao động điều hòa Chương 2. Sóng Chủ đề 2. Sự truyền sóng cơ và các đại lượng đặc
sách - luyện thi cấp tốc môn tiếng anh (dùng chung các bộ sgk hiện hành) Cuốn sách bao gồm các chuyên đề :Ngữ pháp, Từ vựng, Ngữ âm, Kĩ năng giao tiếp, Kĩ năng
Nhằm giúp giáo viên có thêm tài liệu tham khảo trong việc bồi dưỡng, rèn luyện năng khiếu cho học sinh giỏi và giúp các em học sinh có tài liệu tự nâng cao kiến
Tuyệt Kỹ Các Thủ Thuật Giải Nhanh Vật Lý 10 Sách tham khảo là bạn đồng hành không thể thiếu đối với các em học sinh. Đặc biệt là các em cuối cấp.Để giúp các
Cuốn sách “500+ bài tập Hoá học 10: Kiến thức và kĩ năng mấu chốt" bám sát Chương trình Giáo dục phổ thông 2018, nhằm giúp các em tổng kết, hiểu sâu lí thuyết và
ách - Những bài văn đạt giải học sinh giỏi cấp tỉnh - thành phố - toàn quốc (dành cho học sinh thpt) - HA Các em học sinh thân mến! Cuốn sách Những bài
Đây là cuốn sách được biên soạn theo tinh thần thi mới của Bộ Giáo dục và Đào tạo, theo cấu trúc đề thi 3 phần: Kiểm tra kiến thức (câu 1); Nghị luận xã
Sách - Bồi dưỡng học sinh giỏi tiếng anh 10 (dùng chung các bộ sgk hiện hành) - HA Các em học sinh thân mến! Quyển sách “BỒI DƯỠNG HỌC SINH GIỎI TIẾNG ANH 10”
MÔ TẢ SẢN PHẨM Từ Vựng IELTS 8.0 - Từ Vựng Đắt Để Đạt Điểm Cao 4 Kỹ Năng là cuốn sách tổng hợp 15 chủ đề Từ vựng chất lượng giúp bạn đạt điểm
MÔ TẢ SẢN PHẨM Từ Vựng IELTS 8.0 - Từ Vựng Đắt Để Đạt Điểm Cao 4 Kỹ Năng là cuốn sách tổng hợp 15 chủ đề Từ vựng chất lượng giúp bạn đạt điểm
Take Note Toán lớp 10 – Hiểu nhanh, nhớ lâu, áp dụng tốt Take Note Toán lớp 10 – Tổng hợp kiến thức: Hiểu nhanh, nhớ lâu! là một cuốn sách đồng hành không thể
GIỚI THIỆU SÁCH “COMBO BỒI DƯỠNG HỌC SINH GIỎI VẬT LÍ 10” là bộ sách dùng cho học sinh khá giỏi, học sinh các lớp chuyên Vật lí. Về cấu trúc, mỗi cuốn sách đều
Cuốn sách Giải thích chuyên đề thi vào 10 chuyên Tiếng Anh nằm trong bộ sách Giải thích chuyên đề thi vào 10 chuyên. Cuốn sách giúp học sinh củng cố lại kiến thức trọng
Tác Giả: Nhiều tác giả Số trang: 220 Năm xuất bản: 2022 Khổ sách: 19x27cm Hình thức :bìa mềm NXB: NXB Đại học quốc gia Hà Nội Giới Thiệu
500 Bài Toán Chọn Lọc Lớp 10 (Dùng Chung Cho Các Bộ SGK Hiện Hành) 500 Bài Toán Chọn Lọc Lớp 10 (Dùng Chung Cho Các Bộ SGK Hiện Hành) được biên soạn theo chuẩn
Bồi Dưỡng Học Sinh Giỏi Địa Lí 12 (Biên Soạn Theo Chương Trình Giáo Dục Phổ Thông Mới) Sách Bồi dưỡng học sinh giỏi Địa lí 12 được biên soạn để dùng làm tài liệu
Nhà xuất bản: NXB Dân Trí Tác giả: Nhiều tác giả Loại bìa: Bìa Mềm Số trang: 159 Năm xuất bản: 2025 Điểm Cao Và Chinh Phục Ngữ Văn 12 Luyện Thi TN THPT
MÔ TẢ SẢN PHẨM CAM KẾT VÀ BẢO HÀNH - Đảm bảo và cam kết sản phẩm đúng với mô tả và hình ảnh của shop. - Đổi trả sản phẩm miễn phí trong vòng
Bộ sách "Bồi Dưỡng Học Sinh Giỏi Vật Lí Trung Học Phổ Thông - 13 cuốn"nằm trong bộ sách chuyên đề nhiều tập của NXB Giáo dục Việt Nam. Đây là tập sách viết sâu
Sách - Hướng dẫn ôn thi tốt nghiệp THPT môn Ngữ Văn (BÁM SÁT CẤU TRÚC VÀ NỘI DUNG ĐỀ THI MINH HOẠ TỐT NGHIỆP THPT ĐƯỢC BỘ GIÁO DỤC & ĐÀO TẠO CÔNG
Sách - Combo Để học tốt Ngữ Văn 10 - Tập 1 + 2 (Theo SGK Cánh Diều) Gồm 2 cuốn : Để học tốt Ngữ Văn 10 - Tập 1 (Theo SGK Cánh
Thầy cô đang cần một cuốn sách tham khảo gợi mở những ý tưởng sáng tạo, gắn việc dạy – học lịch sử với thực tiễn, phát triển tư duy và đảm bảo các yêu
Thông tin chi tiết: Tác giả: NGƯT. ThS. Lê Hoành Phò Nhà Xuất Bản : NXB Đà Nẵng Số trang : 534 Năm xuất bản : 2022 Giới thiệu sách: Phần 1: Nguyên Hàm
Bí kíp - nắm trọn điểm thi vào 10: Đây là cuốn sách vàng ''giải cứu'' các sĩ tử 2K7 nhằm giúp các em học sinh lớp 9 tự tin chinh phục toàn bộ
Theo chương trình mới, các bạn tiếp cận Toán học với những nội dung gần gũi với cuộc sống và giảm nhẹ các yếu tố hàn lâm. Các bạn cũng được định hướng để phát
Với mục đích giúp các em học sinh làm quen với phương pháp thi mới mẻ này và có được tài liệu chuẩn bị cho kỳ thi sắp tới, tác giả đã xuất bản cuốn
Năng lực đọc hiểu văn bản là một yêu cầu ngày càng trở nên quan trọng đối với con người. Bởi vậy trong nhà trường trung học hiện nay, với môn Ngữ văn, đọc hiểu
Nhằm giúp giáo viên có thêm tài liệu tham khảo trong việc bồi dưỡng, rèn luyện năng khiếu cho học sinh giỏi và giúp các em học sinh có tài liệu tự nâng cao kiến
Sách - Tổng Tập Đề Thi Olympic 30 Tháng 4 Môn Vật Lí Lớp 10 Kì thi Olympic 30 tháng 4 do Sở Giáo dục và Đào tạo, trường THPT chuyên Lê Hồng Phong
Nhằm giúp giáo viên có thêm tài liệu tham khảo trong việc bồi dưỡng, rèn luyện năng khiếu cho học sinh giỏi và giúp các em học sinh có tài liệu tự nâng cao kiến
Nội dung trong sách bám sát chương trình ban Cơ bản phù hợp với kiến thức thi THPT - Quốc gia hiện nay. Sách gồm 18 vấn đề, mỗi vấn đề gồm nhiều dạng bài
Khám Phá Toán 11 Để Học Giỏi - Tập 2 (Dùng Kèm SGK Chân Trời Sáng Tạo) Nối tiếp bộ sách Khám phá Toán 10 để học giỏi gồm 3 phiên bản tương ứng cho 3
THÔNG TIN CHI TIẾT - Tác giả : Nhóm tác giả - Nhà xuất bản : NXB Dân Trí - Kích thước : 21x 30 cm - Số trang : 269 trang - Loại bìa
THÔNG TIN CHI TIẾT - Tác giả : Nhóm tác giả - Nhà xuất bản : NXB Dân Trí - Kích thước : 21 x 30 cm - Số trang : 309 trang - Loại
Nhằm giúp các em học sinh bậc trung học phổ thông (THPT) nắm vững được kiến thức và kĩ năng của chương trình Vật lí trong quá trình học và ôn tập, chúng tôi biên
ƯU ĐIỂM CỦA CUỐN SỔ TAY LUYỆN THI VÀO LỚP 10 - MÔN TOÁN 1. Hệ thống kiến thức toán học ngắn gọn, trọng tâm nhất Cuốn sách bao gồm 12 chương kiến thức ngắn gọn nhất,
Mô tả sản phẩm Căn cứ vào yêu cầu đạt được của mỗi chuyên đề chuyên sâu môn Hóa học được quy định trong công văn số 4171 BGD ĐT-GD TrH ngày 26 tháng 08
SÁCH ĐỘT PHÁ TƯ DUY LỊCH SỬ 12 Biến việc học thành một cuộc phiêu lưu thú vị Bạn đang tìm kiếm một giải pháp học tập giúp bạn tiết kiệm thời gian, chi
Đột Phá Ngữ Văn 11 - Tập 1 (Theo Bộ Sách Cánh Diều) Bạn đang tìm kiếm một giải pháp học tập giúp bạn tiết kiệm thời gian, chi phí mà lại nâng cao được
Đột Phá Ngữ Văn 11 - Tập 2 (Theo Bộ Sách Cánh Diều) Bạn đang tìm kiếm một giải pháp học tập giúp bạn tiết kiệm thời gian, chi phí mà lại nâng cao được
Đột Phá Ngữ Văn 10 - Tập 2 (Theo Bộ Sách Cánh Diều) Bạn đang tìm kiếm một giải pháp học tập giúp bạn tiết kiệm thời gian, chi phí mà lại nâng cao được
Đột Phá Tư Duy Hóa Học 12 - Tập 2 Bạn đang tìm kiếm một giải pháp học tập giúp bạn tiết kiệm thời gian, chi phí mà lại nâng cao được hiệu quả học
Hướng Dẫn Ôn Thi Tốt Nghiệp Trung Học Phổ Thông - Môn Ngữ Văn Từ năm 2025, thay đổi toàn diện Chương trình Giáo dục Phổ thông. Theo đó kì thì tốt nghiệp Trung học
Phương Pháp Giải Các Dạng Toán Thực Tế 12 Trong bối cảnh giáo dục ngày nay, việc nắm vững kiến thức toán học không chỉ là một nhiệm vụ học thuật mà còn là yếu
Thông tin chi tiết Tác giả: Nhiều tác giả NXB: Nhà xuất bản Đại học Quốc gia Hà Nội Nhà cung cấp ndbooks Năm xuất bản: 2025 Số trang: 176
SÁCH ĐỘT PHÁ TƯ DUY KÌ THI TỐT NGHIỆP THPT MÔN LỊCH SỬ Theo cấu trúc định hướng thi mới năm 2026 của BGD Với cấu trúc đề thi mới, các dạng câu hỏi mới
SÁCH ĐỘT PHÁ TƯ DUY KÌ THI TỐT NGHIỆP THPT MÔN NGỮ VĂN Theo cấu trúc định hướng thi mới năm 2026 của BGD Với cấu trúc đề thi mới, các dạng câu hỏi mới
Kì thi Olympic 30 tháng 4 do Sở Giáo dục và Đào tạo, Trường Trung học Phổ thông Chuyên Lê Hồng Phong Thành phố Hồ Chí Minh tổ chức đã diễn ra được 26 kì
Nội dung của mỗi tiết học là các định nghĩa, các công thức toán học, các định lí mà mỗi học sinh cần nhớ, đồng thời phải biết vận dụng các kiến thức để làm
Nội dung của mỗi tiết học là các định nghĩa, các công thức toán học, các định lí mà mỗi học sinh cần nhớ, đồng thời phải biết vận dụng các kiến thức để làm
Ngữ văn 10 - Phương pháp đọc hiểu và viết (dùng ngữ liệu ngoài sgk) - Theo CT 2018 dùng chung cho 3 bộ sgk là sách thảm khảo dùng cho học sinh lớp 10, Sách được
Cuốn sách "Hóa học nâng cao 10" được biên soạn dựa trên Chương trình giáo dục phổ thông năm 2018 - môn Hóa học, gồm 7 chương- * Chương 1. Cấu tạo nguyên tử
Năm học 2017 - 2018 đã bắt đầu. Các em học sinh lớp 12 vừa học phải vừa kiểm tra bài tập chu đáo theo từng chủ đề để chuẩn bị tốt nhất cho mình
👁️ 56 | ⌚2025-10-04 06:30:03.383


Bánh Ngọt Nhỏ Ngốc Nghếch - Tập 3 Câu chuyện giữa một cương thi lạnh lùng mê tỏi và một ma cà rồng ngốc nghếch ghét tỏi tiếp tục trở lại trong “Bánh ngọt nhỏ
Nhà Sách Nhân Văn - A book is a dream that you hold in your hand .
Phụ nữ vô hình ( Invisible women) ------------ PHỤ NỮ VÔ HÌNH - BẤT BÌNH ĐẲNG TỪ KHOẢNG TRỐNG DỮ LIỆU Hầu hết lịch sử thành văn của nhân loại là một lỗ hổng
Vật Lý Của Những Điều Tưởng Chừng Bất Khả ------------ “Nếu một ý tưởng nghe chừng không có gì ngớ ngẩn thì đừng mong có hy vọng gì cho nó.” – Albert Einstein Trong Vật
Vật Lý Của Những Điều Tưởng Chừng Bất Khả ------------ “Nếu một ý tưởng nghe chừng không có gì ngớ ngẩn thì đừng mong có hy vọng gì cho nó.” – Albert Einstein Trong Vật
1000 Bộ Não - Lý Thuyết Mới Về Trí Tuệ Con Người Nội dung sách được chia thành 03 phần chính: Phần 1: Hiểu biết mới về não bộ Dù đã có những tiến bộ
Sách Trò Chơi Quyền Lực: Quá Khứ, Hiện Tại và Tương Lai Của Trật Tự Thế Giới (Ngô Di Lân) Omega Plus “Trò chơi quyền lực – Quá khứ, hiện tại và tương lai của
Tác giả: Jake Register Dịch giả: Huy Nguyễn; Ngày xuất bản: 11 - 2021 Kích thước: 15 x 20.5 cm Nhà xuất bản: NXB Thanh Niên Hình thức bìa: Bìa mềm Số trang: 400
Các bạn nhỏ thân mến, cuốn “Bách khoa toàn thư” này là một tài liệu học tập được thiết kế dành riêng cho các bạn trong quá trình đọc các tài liệu ngoại khóa. Cuốn
Phụ nữ vô hình ( Invisible women) ------------ PHỤ NỮ VÔ HÌNH - BẤT BÌNH ĐẲNG TỪ KHOẢNG TRỐNG DỮ LIỆU Hầu hết lịch sử thành văn của nhân loại là một lỗ hổng
Phụ nữ vô hình ( Invisible women) ------------ PHỤ NỮ VÔ HÌNH - BẤT BÌNH ĐẲNG TỪ KHOẢNG TRỐNG DỮ LIỆU Hầu hết lịch sử thành văn của nhân loại là một lỗ hổng
Đánh Thức Con Người Phi Thường Trong Bạn (Bìa Cứng)
Dường như không ai tin bản thân mình đang bị khống chế bởi tâm hồn của một kẻ khác, vì rất ít người hiểu được cách thức hoạt động của việc khai thông tiềm thức
Cuốn sách hấp dẫn này thuật lại trọn vẹn các giai đoạn phát triển sự nghiệp song song với quá trình phát triển kỹ năng để đạt tới mức độ siêu chuyên nghiệp của Lydia
Sức Mạnh Giác Ngộ Khi đối mặt với lo âu và kiệt sức, chúng ta trở nên kém hiệu suất hơn mà không nhận ra điều đó. Cuốn sách “Sức mạnh giác ngộ” giúp chúng
Tinh Hoa Kỹ Năng Đào Tạo Và Truyền Cảm Hứng “Đây không chỉ là một cuốn sách về đào tạo và thuyết trình, mà còn là hành trình khám phá bản thân và nâng cao
Giới thiệu sách: Thuyết Mặc Kệ Họ Điều gì sẽ xảy ra nếu chìa khóa dẫn đến hạnh phúc, thành công và tình yêu chỉ là ba từ đơn giản: hãy để họ.
Vô Cùng Tàn Nhẫn Vô Cùng Yêu Thương (Bìa Mềm) Vô Cùng Tàn Nhẫn Vô Cùng Yêu Thương là chấp bút của một bà mẹ Do Thái sinh ra và lớn lên ở Thượng Hải,
Thuật Tẩy Não Dường như không ai tin bản thân mình đang bị khống chế bởi tâm hồn của một kẻ khác, vì rất ít người hiểu được cách thức hoạt động của việc khai
Thuật Tẩy Não Dường như không ai tin bản thân mình đang bị khống chế bởi tâm hồn của một kẻ khác, vì rất ít người hiểu được cách thức hoạt động của việc khai