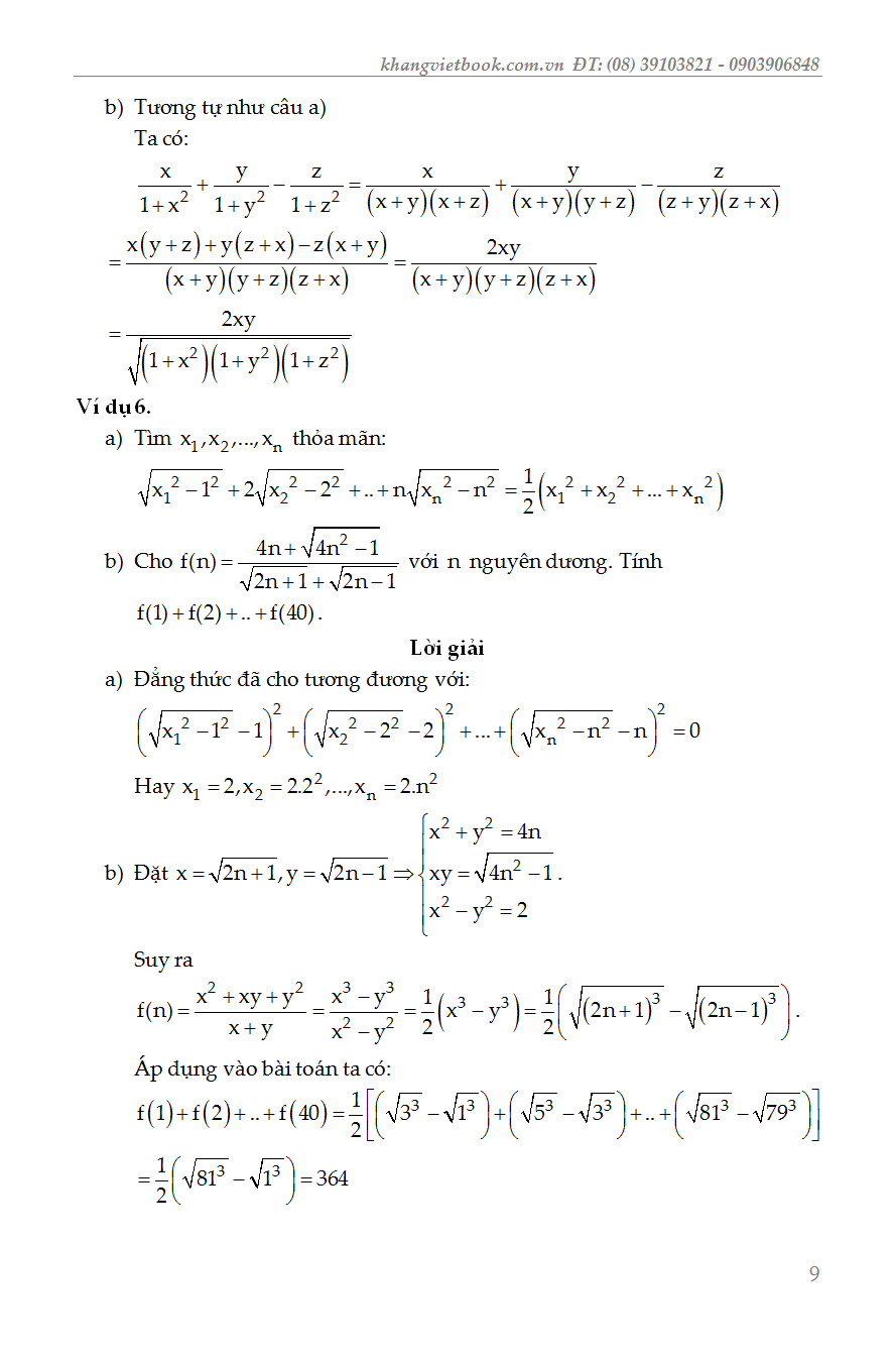
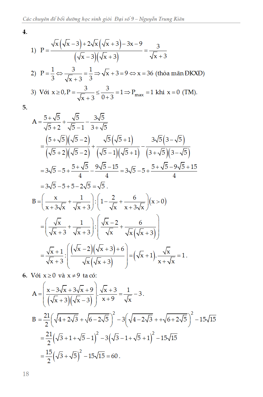
✨Các Chuyên Đề Bồi Dưỡng Học Sinh Giỏi Đại Số Lớp 9

Các Chuyên Đề Bồi Dưỡng Học Sinh Giỏi Đại Số Lớp 9 Đại số là mảng kiến thức rất quan trọng trong toán học phổ thông. Nhằm giúp các em học sinh lớp 9 ôn thi vào lớp 10 THPT cũng như các em học sinh c...

mua sản phẩm tại Shopee Mua tại Shopeemua sản phẩm tại TikiMua tại Tikimua sản phẩm tại LazadaMua tại Lazadamua sản phẩm tại TiktokMua tại Tiktok
Các Chuyên Đề Bồi Dưỡng Học Sinh Giỏi Đại Số Lớp 9Các Chuyên Đề Bồi Dưỡng Học Sinh Giỏi Đại Số Lớp 9Các Chuyên Đề Bồi Dưỡng Học Sinh Giỏi Đại Số Lớp 9Các Chuyên Đề Bồi Dưỡng Học Sinh Giỏi Đại Số Lớp 9Các Chuyên Đề Bồi Dưỡng Học Sinh Giỏi Đại Số Lớp 9Các Chuyên Đề Bồi Dưỡng Học Sinh Giỏi Đại Số Lớp 9Các Chuyên Đề Bồi Dưỡng Học Sinh Giỏi Đại Số Lớp 9Các Chuyên Đề Bồi Dưỡng Học Sinh Giỏi Đại Số Lớp 9Các Chuyên Đề Bồi Dưỡng Học Sinh Giỏi Đại Số Lớp 9Các Chuyên Đề Bồi Dưỡng Học Sinh Giỏi Đại Số Lớp 9Các Chuyên Đề Bồi Dưỡng Học Sinh Giỏi Đại Số Lớp 9Các Chuyên Đề Bồi Dưỡng Học Sinh Giỏi Đại Số Lớp 9Các Chuyên Đề Bồi Dưỡng Học Sinh Giỏi Đại Số Lớp 9Các Chuyên Đề Bồi Dưỡng Học Sinh Giỏi Đại Số Lớp 9Các Chuyên Đề Bồi Dưỡng Học Sinh Giỏi Đại Số Lớp 9Các Chuyên Đề Bồi Dưỡng Học Sinh Giỏi Đại Số Lớp 9Các Chuyên Đề Bồi Dưỡng Học Sinh Giỏi Đại Số Lớp 9Các Chuyên Đề Bồi Dưỡng Học Sinh Giỏi Đại Số Lớp 9Các Chuyên Đề Bồi Dưỡng Học Sinh Giỏi Đại Số Lớp 9

Các Chuyên Đề Bồi Dưỡng Học Sinh Giỏi Đại Số Lớp 9

Đại số là mảng kiến thức rất quan trọng trong toán học phổ thông.

Nhằm giúp các em học sinh lớp 9 ôn thi vào lớp 10 THPT cũng như các em học sinh chuyên Toán có một tài liệu mang tính hệ thống để ôn luyện, nâng cao kiến thức kỹ năng giải toán và đạt kết quả cao nhất trong các kỳ thi Học sinh giỏi, kỳ thi Tuyển sinh vào lớp 10  cũng như thi vào các lớp chuyên, tôi biên soạn cuốn: “Các chuyên đề bồi dưỡng học sinh giỏi đại số 9’’.

Nội dung cuốn sách được chia làm 9 chủ đề

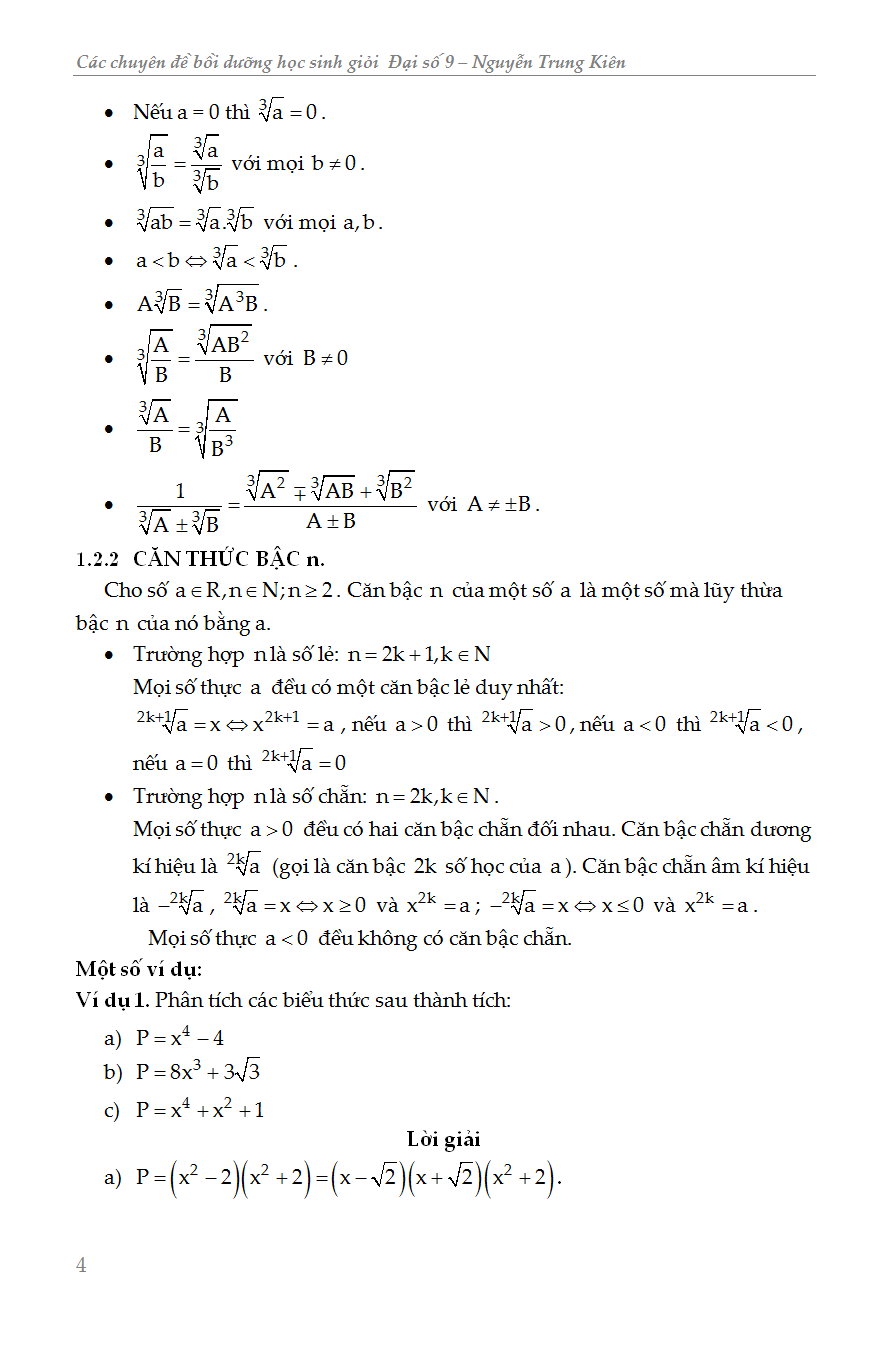
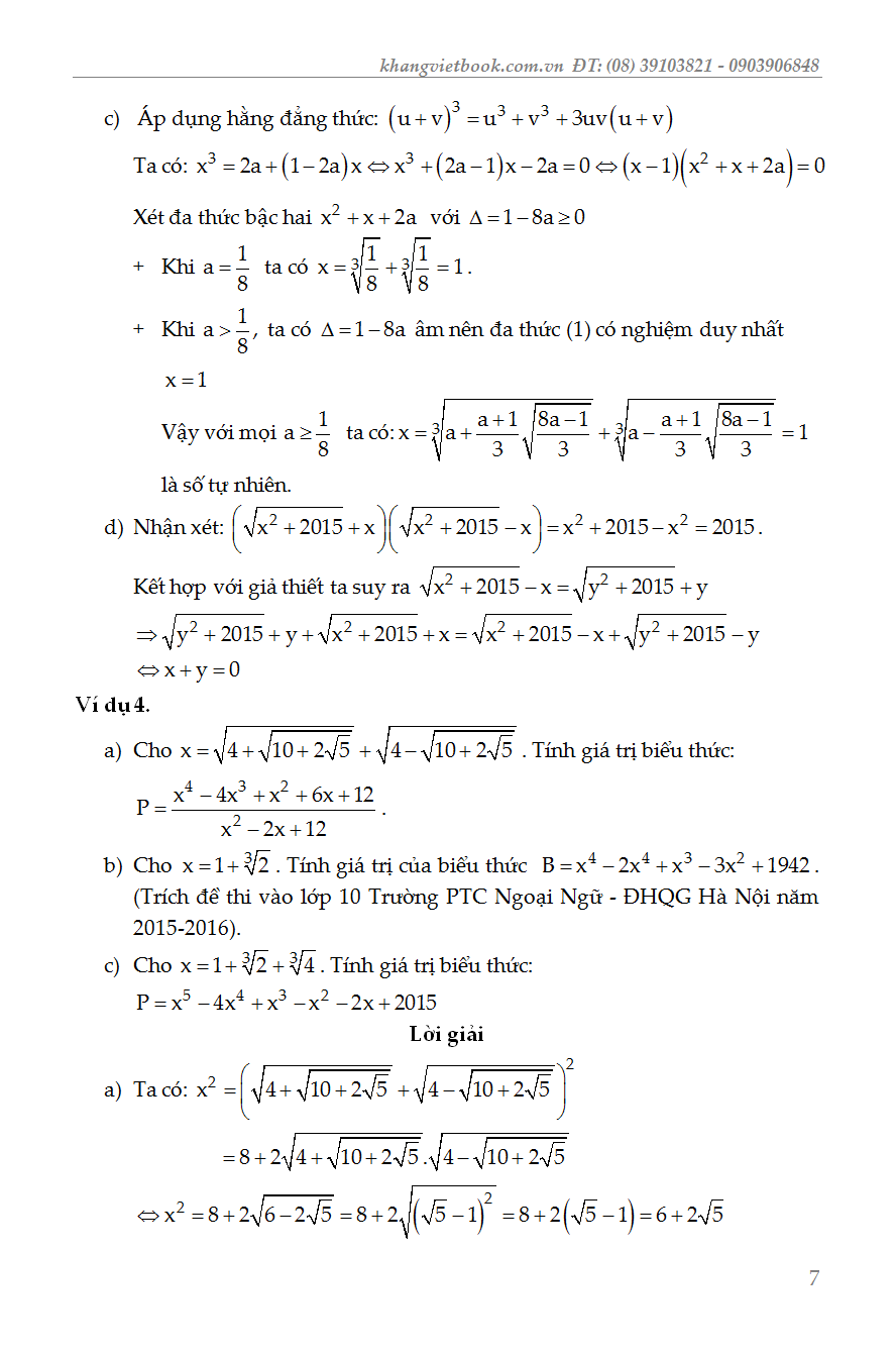
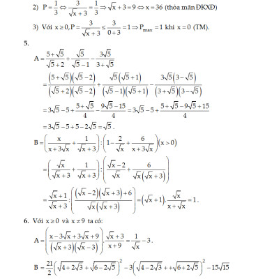
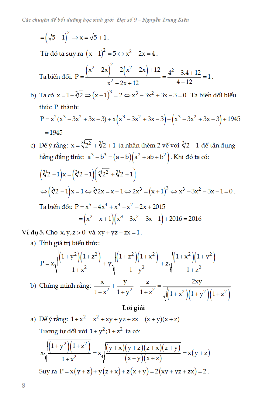
Chủ đề  1. Biến đổi đại số.

Chủ đề  2. Hàm số bậc nhất, Hàm số bậc 2

Chủ đề  3. Hệ phương trình bậc nhất hai ẩn.

Chủ đề  4. Giải bài toán bằng cách lập phương trình, hệ phương trình.

Chủ đề  5. Phương trình đại số.

Chủ đề  6. Phương trình vô tỷ

Chủ đề  7. Hệ phương trình.

Chủ đề  8. Bất đẳng thức.

Chủ đề  9. Các đề toán ôn tập tổng hợp.

Trong mỗi phần, tôi luôn cố gắng hệ thống phương pháp, phân tích, định hướng cách giải, cuối mỗi phần đều có bài tập rèn luyện để các em học sinh thử sức.

mua sản phẩm tại Shopee Mua tại Shopeemua sản phẩm tại TikiMua tại Tikimua sản phẩm tại LazadaMua tại Lazadamua sản phẩm tại TiktokMua tại Tiktok
Hành Trình Khám Phá - Thực Vật Với những bức ảnh sinh động cùng hình minh họa ba chiều chân thực, bộ sách Hành trình khám phá sẽ giúp bạn khai phá nhiều bí ẩn
Hành Trình Khám Phá - Động Vật Với những bức ảnh sinh động cùng hình minh họa ba chiều chân thực, bộ sách Hành trình khám phá sẽ giúp bạn khai phá nhiều bí ẩn
Vượt Lên Nghịch Cảnh VƯỢT LÊN NGHỊCH CẢNH - cuốn sách gối đầu giường của những ai đang mang trong m.ình khát vọng khởi nghiệp, hay những bạn trẻ đang đi tìm nguồn cảm hứng
Tác giả: Nguyễn Đức Dân Khổ sách: 14x20cm Số trang: 278 Giá bán: 105,000 VNĐ ISBN: 978-604-1-20913-8 In lần thứ 4 năm 2022 NXB: NXB Trẻ NPH: NXB Trẻ Giới thiệu tóm tắt tác phẩm:
Hãy chiếm thế thượng phong trong việc chủ động nhận biết điều cần tìm kiếm - ở bất kỳ ai bằng cách “thâm nhập vào suy nghĩ” của người khác. ĐỌC VỊ BẤT KỲ AI
Sống Hạnh Phúc Với 7 Thói Quen Tiền Bạc Nhà xuất bản : Nhà Xuất Bản Phụ Nữ. Công ty phát hành : NXB Phụ Nữ. Tác giả : Rachel Cruze. Kích thước : 15
21 Ngày Thực Hành NLP - Thay Đổi Thói Quen, Xây Dựng Nền Tảng Để Thành Công Là cuốn sách được viết trên sự trải nghiệm của tác giả Đậu Thị Nhung - người trực
Sống Hạnh Phúc Với 7 Thói Quen Tiền Bạc - Ngừng So Bì Để Yêu Đời Hơn
Giảm Thiểu Chất Thải Tại Việt Nam - Cần Hành Động Trước Khi Quá Muộn Ấn phẩm này được thực hiện trong khuôn khổ chương trình “Chất lượng cuộc sống - Chất lượng thành phố”,
NGƯỜI TẨY NÃO NHÂN LOẠI Biệt ngữ mà giới nghiên cứu ngày nay thường dùng để chỉ tính chất huyền thoại trong nghệ thuật Kafka là Kiểu Kafka. Quả thật Kafka không chỉ tạo nên
Sáng Tạo Bản Thể - Giải Mã Bộ Não Tuổi Teen Nổi loạn, bốc đồng, liều lĩnh và thường đưa ra những quyết định tệ hại… Đó là những gì mà người ta thường nghĩ
Thiền Đích Thực Trong những bài giảng ở tuyển tập này, Shunryu Suzuki minh giải về Thiền bằng ngôn ngữ thường nhật, với tính chất u mặc và nhân ái. Trong lúc mang đến sự
[TẶNG KÈM BOOKMARK NGẪU NHIÊN CHO MỌI ĐƠN HÀNG] /// Tiến sĩ Keltner vạch ra chính xác trong hai mươi “Nguyên lý quyền lực” chính cách để duy trì quyền lực; tại sao quyền lực
Thế Giới Có Chắc Vận Hành Như Bạn Nghĩ? Nhà xuất bản : Nhà Xuất Bản Thanh Niên. Công ty phát hành : Bebooks. Tác giả : Vương Duyệt. Kích thước : 14.5 x 20.5
SET 4 HỦ BỘT NẶN AN TOÀN TẶNG CÁC BẠN DỰ SINH NHẬT Sinh nhật bé nào ba mẹ cũng chuẩn bị sẵn các phần quà be bé để tặng các bạn đã tới tham
Chữa Lành Bằng Tâm Thức (Tái bản năm 2023) Nhà xuất bản : Nhà Xuất Bản Thế Giới. Công ty phát hành : Phương Nam Book. Tác giả : Newton Kondaveti. Kích thước : 13
Máy đục lỗ 15 tờ Deli TÍNH NĂNG SẢN PHẨM: ️Vỏ nhựa cứng và lõi thép có nhụa bao phủ siêu bền và sử dụng lâu dài. ️Thiết kế tay cầm tiện dụng cho cảm
Tác giả: Nguyễn Đình Đầu Khổ sách: 15,5x23cm Số trang: 232 Giá bán: 105,000 VNĐ ISBN: 978-604-1-15276-2 In lần thứ 1 năm 2020 NXB: NXB Trẻ NPH: NXB Trẻ Giới thiệu tóm tắt tác phẩm:
Thay Tư Duy, Đổi Cuộc Đời Nhà xuất bản : Nhà Xuất Bản Văn Học. Công ty phát hành : Mintbooks. Tác giả : Park Seni. Kích thước : 14.5 x 20.5 cm. Số trang
Freelance Writer - Vén Màn Hậu Trường Của Những Bước Chân 4.0
Để Nói Lời Từ Biệt Với Cha Cuốn sách bán chạy của The Sunday Times Cuốn sách đạt giải thưởng Sách Costa năm 2020 Cuốn sách nằm trong Giải thưởng Baillie Gifford vào năm 2020
Sự khác biệt giữa người thông minh và người thường không nằm ở kiến thức ít hay nhiều , trai nghiệm sâu sắc đến đâu mà là ở cách tư duy . Mọi kết quả
“Một ngày sẽ dài bất tận cho những ai biết cách trân trọng và sử dụng nó.” (Goethe) Tất cả chúng ta đều có cùng số giờ dành cho mình trong một ngày, nhưng một
Ước mà không phải ánh mặt trời ngày nào cũng có cũng không phải nhưng đưa hoa nhỏ bé có thể nhìn thấy ở bất cứ nơi đầu. Nó vừa nhân ái cùng vừa khắc
THÔNG TIN CHI TIẾT Công ty phát hành Nhã Nam Ngày xuất bản: 09-2018 Kích thước: 19 x 24 cm Nhà xuất bản: Nhà Xuất Bản Thế Giới Loại bìa: Bìa mềm GIỚI THIỆU SÁCH
Làm thế nào vi khuẩn ăn nhựa có thể giúp giảm thiểu chất thải? Một dòng sông có thể được trao quyền con người? Liệu chúng ta có thể tạo ra tất cả năng lượng
24 Giờ Ở Thời Đồ Đá Một ngày của những con người sống ở thời đồ đá sẽ diễn ra như thế nào nhỉ? Chúng ta hãy cùng nhau du hành ngược thời gian gần
Chiến Binh Cổ Đại Nhà xuất bản : Nhà Xuất Bản Kim Đồng. Công ty phát hành : NXB Kim Đồng. Tác giả : Joe Lillington. Kích thước : 24.5 x 31 cm. Số trang
500 Fantastic Facts About Space - Cùng Bé Khám Phá 500 Điều Thú Vị Về Vũ Trụ Cuốn sách đầy ắp những kiến thức xịn sò đáng kinh ngạc : - Những hành tinh nào
Từ Điển Tiếng Yêu - “Giải Mã” Ngôn Ngữ Nửa Kia
Để làm chủ cảm xúc, đầu tiên bạn phải hiểu cảm xúc vận hành như thế nào; rồi sau đó mới lập trình lại và chuyển hóa chúng. Tuân theo các bước này, bạn sẽ
Cái Tôi Và Trí Tuệ Cảm Xúc Cuốn sách này dựa trên những giai thoại có thật trong 20 năm huấn luyện và tư vấn của tác giả, bao gồm những câu chuyện thành công
  Công ty phát hành: First News - Trí Việt Tác Giả: Nhiều tác giả Ngày phát hành: 2019 Số trang: 200 trang Kích thước: 13 x 20.5 cm Nhà xuất bản: NXB Tổng hợp
Kể từ khi xuất bản lần đầu cách đây gần 30 năm, Thương lượng không nhân nhượng đã giúp hàng triệu người học cách thương lượng tốt hơn. Một trong những văn bản kinh doanh
Kể từ khi xuất bản lần đầu cách đây gần 30 năm, Thương lượng không nhân nhượng đã giúp hàng triệu người học cách thương lượng tốt hơn. Một trong những văn bản kinh doanh
Kể từ khi xuất bản lần đầu cách đây gần 30 năm, Thương lượng không nhân nhượng đã giúp hàng triệu người học cách thương lượng tốt hơn. Một trong những văn bản kinh doanh
Tác giả: Đặng Hoàng Giang Nhà xuất bản: Hội nhà văn Số trang: 307 Kích thước: 14 x 20,5 Ngày phát hành: 03-2020 Có lẽ chúng ta đang chứng kiến sự phục sinh đáng kinh
Các nhà quản lý luôn là những người rất giỏi giang, khéo léo trong việc truyền đạt thông tin, khơi gợi cảm hứng làm việc từ nhân viên của mình. Tuy nhiên, không phải “ông
Trưởng Thành Đôi Khi Cũng Khóc
How to Think - Cách Tư Duy: Hướng Dẫn Sinh Tồn Trong Một Thế Giới Đầy Bất Động Nhà xuất bản : Nhà Xuất Bản Thế Giới. Công ty phát hành : Nhã Nam. Tác
Thoát Khỏi Bẫy Nhân Cách Tên tác giả: Vũ Chí Hồng Dịch giả: Phúc Nhi Thương hiệu: Bookland Khổ sách: 14,5x20,5 cm Số trang: 304 trang Nhà xuất bản: Dân Trí Giá: 122.000 VNĐ Dự
Thoát Khỏi Bẫy Nhân Cách Tên tác giả: Vũ Chí Hồng Dịch giả: Phúc Nhi Thương hiệu: Bookland Khổ sách: 14,5x20,5 cm Số trang: 304 trang Nhà xuất bản: Dân Trí Giá: 122.000 VNĐ Dự
Đừng Từ Bỏ Quá Sớm Bằng giọng văn và ngôn ngữ dí dỏm, tác giả chia sẻ với các bạn trẻ nhiều trải nghiệm, bài học và kỹ năng mềm từ khi bước vào giảng
Sống Chánh Niệm - Tâm Bình Yên “Nhiều người sống, nhưng chưa từng chạm tay vào điều kỳ diệu của việc được sống.” - Thiền sư Thích Nhất Hạnh “Mục đích của thiền không phải
Sức mạnh của sự tử tế (TB2) I. Giới Thiệu Sách Trong kinh doanh, tử tế không có nghĩa là thiếu quyết đoán hay cả nể… chẳng dễ mà thành được người tử tế, nhưng
Đò Dọc Tình yêu là thứ gì vừa dữ dội, vừa mong manh. Bao đời nay người ta đã đúc kết như vậy. Cái khác thường trong tình yêu ở tiểu thuyết Đò Dọc là
Phụ Nữ Tự Do, Tình Yêu Và Hạnh Phúc Xin chân thành cảm ơn quý độc giả đã quan tâm và yêu mến Phụ nữ tự do, tình yêu và hạnh phúc. Đây là cuốn
Làm Ít Được Nhiều (Tái bản năm 2022) Nhà xuất bản : Nhà Xuất Bản Đà Nẵng. Công ty phát hành : ZenBooks. Tác giả : Chin-Ning Chu. Kích thước : 13 x 20.5 cm.
Công ty phát hành Nhã Nam Tác giả Dale Carnegie Ngày xuất bản 01-2019 Kích thước 15.5 x 24 cm Nhà xuất bản Nhà Xuất Bản Thế Giới Dịch Giả Phan Linh Lan Loại bìa
Tác giả: Martin Dorey Dịch giả: Quỳnh Chi. Nhà xuất bản: Thế Giới Số trang: 256 Kích thước: 14 x 20.5cm Ngày phát hành: 01-2023 Sau ic.: Những gì bạn có thể làm vì một
Mạnh Dạn Buông Bỏ Khi Tình Không Tỏ Một cuộc tình tốt đẹp thì nhất định phải có sự thỏa hiệp lẫn nhau. Con người không phải các mảnh ghép, không phải sinh ra đã
Sức Mạnh Của Sự Tử Tế (Tái bản năm 2022) Nhà xuất bản : Nhà Xuất Bản Thế Giới. Công ty phát hành : Phương Nam Book. Tác giả : Linda Kaplan Thaler. Kích thước
100 Ngày Mua Lại Tuổi Trẻ Ông Trời cho tất cả mọi người một quỹ thời gian như nhau: 24 giờ/ ngày, 365 ngày/ năm và 10 năm tuổi trẻ (từ 17 đến 26 tuổi).
Sắc Màu Nội Tâm Sắc màu nội tâm (Dải màu sắc cảm xúc trên cơ thể con người) do Thượng Quan Chiêu Nghi biên soạn là một tác phẩm nổi tiếng, được đánh giá năm
3 Người Thầy Vĩ Đại - Câu Chuyện Đặc Biệt Về Cách Sống Theo Những Gì Mình Mong Muốn “Tôi đã nếm trải nhiều thất bại trong hành trình đi qua những tháng ngày của
Trang đầu 1 2 3 4 5 6 7 8 9 10 11 12 13 14 15 16 17 18 19 20 21 22 23 24 25 26 27 28 29 30 31 32 33 34 35 36 37 38 39 40 41 42 43 44 45 46 47 48 49 50 Trang cuối
👁️ 61 | ⌚2025-09-27 19:00:02.338

QC Shopee
Đồ Chơi HD xin phép được gửi lời chào thân yêu nhất đến Quý khách đã tin tưởng và lựa chọn các sản phẩm, dịch vụ của Shop ạ. ------------------------- Nói KHÔNG với TV, LAPTOP,
Công ty Học Liệu Sư Phạm giới thiệu: Tác giả : Nhiều tác giả Nhà xuất bản: Nhà Xuất Bản Giáo Dục Việt Nam Ngày xuất bản: 2025 Số trang: 276 Kích thước: 19 x
Tác giả: Tony Buổi Sáng Khổ sách: 13x20.5cm Số trang: 268 Giá bán: 90,000 VNĐ NXB:NXB Trẻ NPH: NXB Trẻ In lần thứ 10 năm 2019 Giới thiệu tóm tắt tác phẩm: Tập bài viết
Con người cần có lề luật. Nhưng mối tương quan giữa con người và lề luật luôn căng thẳng. Không phải chỉ trong xã hội dân sự mà cả trong cộng đồng tôn giáo. Căng
Pháp Phật trong cuộc sống Những bài viết về Pháp Phật trong cuộc sống với việc trải lòng từ bi, nhẫn nhưng không nhục,cảm ơn nghịch cảnh, đời sống có ý nghĩa,, kiêu căng mất phước, nguồn
Con người đã làm môi trường sống của nhiều loài sinh vật thu hẹp hay biến mất, dẫn tới tuyệt chủng của nhiều loài động và thực vật. Những loài sinh học đặc hữu mà
Dành cho lứa tuổi 4+ 1. Chuyên gia từ vựng - Có gì trong thành phố Cuốn sách đang yêu này sẽ cho các bạn biết điều gì đang xảy ra trong một thành phố
Hành Trình Khám Phá - Thực Vật Với những bức ảnh sinh động cùng hình minh họa ba chiều chân thực, bộ sách Hành trình khám phá sẽ giúp bạn khai phá nhiều bí ẩn
Hành Trình Khám Phá - Động Vật Với những bức ảnh sinh động cùng hình minh họa ba chiều chân thực, bộ sách Hành trình khám phá sẽ giúp bạn khai phá nhiều bí ẩn
Giới thiệu tóm tắt tác phẩm: Kinh tế học không chỉ bó hẹp trong giảng đường hay ngân hàng. Môn khoa học này tồn tại ở khắp mọi nơi và ảnh hưởng tới mọi thứ
Đây là cuốn sách duy nhất tại Việt nam mô tả đầy đủ nhất về CR7, không những chỉ là ở góc độ chuyên môn, mà còn là ở khía cạnh đời thực từ ngày
CRISTIANO RONALDO – ALL ABOUT HIM Từ cậu bé nghèo ở Madeira đến huyền thoại bóng đá thế giới! Cristiano Ronaldo không chỉ là một cầu thủ, anh là một hiện tượng bóng đá, một
Cuộc sống luôn ở phía trước, con người vốn bận rộn, ít khi nhìn lại mình và thường đổ lỗi cho việc không có thời gian để nhìn lại mình. Đến một ngày, sao thấy
The Little Book Of World Religion - Những Tôn Giáo Trên Thế Giới - Ross Dickinson - (bìa mềm) - Giá bìa: 105.000đ I. GIỚI THIỆU SÁCH Ross Dickinson Là tác giả, biên tập viên
Thông tin sản phẩm: Tên sách: Nghệ thuật kể chuyện cho trẻ em Tác giả: Silke Rose West, Joseph Sarosy Công ty phát hành: Tân Việt Nhà xuất bản: Dân Trí Ngôn ngữ: Tiếng Việt
Mã hàng 8935210228888 Tên Nhà Cung Cấp Tân Việt Tác giả Hans Christian Andersen NXB NXB Văn Học Năm XB 2018 Trọng lượng (gr) 500 Kích Thước Bao Bì 14 x 20.5 cm Số trang
Tên Nhà Cung CấptTân Việt Tác giảtThiên Phúc NXBtNXB Dân Trí Năm XBt2018 Trọng lượng (gr)t400 Kích Thước Bao Bìt16 x 24 Số trangt389 Hình thứctBìa Mềm MÔ TẢ SẢN PHẨM: Nâng Cao Kỹ Năng
Cuốn sách "Khủng hoảng nợ công ở một số nước Liên minh châu Âu và bài học kinh nghiệm cho Việt Nam" là một công trình nghiên cứu chuyên khảo, tập trung phân tích nguyên
Đọc Vị Bất Kỳ Ai - Áp Dụng Trong Doanh Nghiệp Phần lớn các cuốn sách kinh doanh – dù nói về quản lý, lãnh đạo, phát triển cá nhân hay dịch vụ khách hàng
Tăng Sự Bách Giảng - Quy Chế Tùng Lâm Cuốn sách gồm những nội dung chính như sau: Bài 1: Phân biệt tùng lâm Bài 2: Tùng lâm ở Trung Quốc Bài 3: Bố cục