✨Cambridge Preliminary English Test 5 Student's Book with Answers

















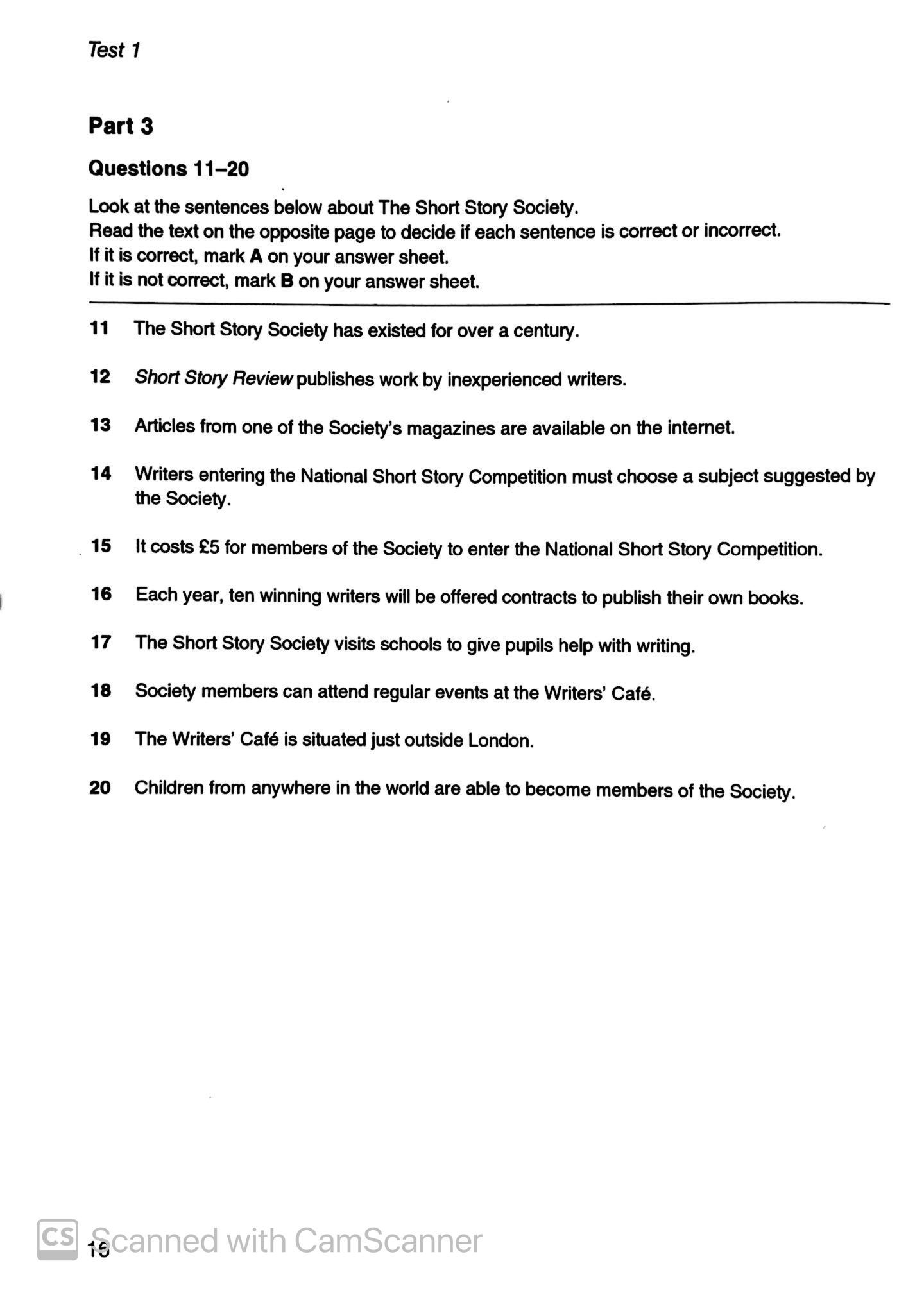
The Cambridge Preliminary English Test 5 practice tests provide candidates with an excellent opportunity to familiarise themselves with the 2004 PET exam and to practise examination techniques. The Student's Book contains practice material for Paper 1 (Reading and Writing) and Paper 2 (Listening), along with attractive colour visual material for Paper 3 (Speaking), enabling students to prepare thoroughly for the paired Speaking test. The Student's Book is available with or without answers.




New Get Smart 2 Flashcards New Get Smart là một khóa học chính đưa những học sinh từ trình độ sơ cấp đến trung cấp, đồng thời xem xét cẩn thận nhu cầu và sở
New Get Smart 4 Flashcards New Get Smart là một khóa học chính đưa những học sinh từ trình độ sơ cấp đến trung cấp, đồng thời xem xét cẩn thận nhu cầu và sở
Cambridge English Empower is a general adult course that combines course content from Cambridge University Press with validated assessment from the experts at Cambridge English Language Assessment. The Pre-intermediate Student's Book gives learners an immediate
Everybody Up (2E) 4 Student Book Everybody Up gets students talking about the real world. Posters, videos, stories, and songs link English to other school subjects and universal values, developing global citizens with 21st century
Oxford Phonics World Refresh 5 Students Book Pack Oxford Phonics World is the first step on your students' journey into English, leading you through all 44 sounds .
English File 4th Edition: Intermediate: Student's Book With Online Practice The English File fourth edition Student's Book is packed full of interesting content to keep students of all levels talking. Online Practice gives students the
Starlight: Level 4: Workbook Using a clear 'engage - practice - communicate' approach in every lesson, Starlight's lively stories, songs, projects, CLIL lessons and high-level course syllabus help students master the language they need for exams
English World 5: Pupil Book with eBook Pack English World is a stunningly visual ten-level course which will take children through from primary to secondary. Written by the authors of best-sellers Way Ahead and Macmillan
Provides more practice to consolidate the Student Book Alphabet Writing Practice familiarizes children with upper and lower case letter shapes
Kid's Box Second edition Pupil's Book Level 5
Voices Advanced - Workbook With Answer Key
Let's Go: Level 3: Workbook With Online Practice - 5th Edition Inspire students to enjoy learning in English with a trusted methodology and easy-to-use teaching tools. Let's Go 5th Edition provides lively and motivating activities
Plus de 50 règles et astuces pour ne plus faire de fautes en orthographe ! Vous hésitez entre a et à, ou et où, et et est, quoique et quoi ? En un clin d'oeil,
ACCESS Series – Grade 6-9 is an ELT series that specially designed specifically for secondary students with English advance programs, based on the method of language synthesis. Levels: 4 cấp độ, từ Lớp 6 –
Super Safari: Super Safari British English edition is a three-level pre-primary course that welcomes very young children to English through stories, songs and plenty of playtime while supporting their cognitive, motor-sensory and social development. Join
Prepare A1 Level 1 Workbook With Audio Download PREPARE 2nd edition Level 1 provides a foundation for levels 2 and 3 which prepare students for the revised 2020 A2 Key for Schools exam. The Level
English World is a stunningly visual ten-level course which will take children through from primary to secondary. Written by the authors of best-sellers Way Ahead and Macmillan English, English World combines best practice methodology with
Academy Award-winning screenwriter Quentin Tarantino returns with his most infamous, most brilliant, most masterful screenplay At the end of the Civil War, a stagecoach hurtles through the wintry Wyoming landscape. Bounty hunter John Ruth and
Nikkei Asia là tạp chí tiếng Anh có tên tuổi thuộc tập đoàn Nikkei - Nhật Bản, chuyên viết về những xu hướng kinh tế, công nghệ, chính trị của các nước trong khu vực
Nikkei Asia là tạp chí tiếng Anh có tên tuổi thuộc tập đoàn Nikkei - Nhật Bản, chuyên viết về những xu hướng kinh tế, công nghệ, chính trị của các nước trong khu vực
Nikkei Asia là tạp chí tiếng Anh có tên tuổi thuộc tập đoàn Nikkei - Nhật Bản, chuyên viết về những xu hướng kinh tế, công nghệ, chính trị của các nước trong khu vực
Nikkei Asia là tạp chí tiếng Anh có tên tuổi thuộc tập đoàn Nikkei - Nhật Bản, chuyên viết về những xu hướng kinh tế, công nghệ, chính trị của các nước trong khu vực
Nikkei Asia là tạp chí tiếng Anh có tên tuổi thuộc tập đoàn Nikkei - Nhật Bản, chuyên viết về những xu hướng kinh tế, công nghệ, chính trị của các nước trong khu vực
Nikkei Asia là tạp chí tiếng Anh có tên tuổi thuộc tập đoàn Nikkei - Nhật Bản, chuyên viết về những xu hướng kinh tế, công nghệ, chính trị của các nước trong khu vực
Grammar Friends: 2: Student Book The step-by-step grammar presentations in Grammar Friends introduce form, use and meaning in a way that even young beginner learners can understand and remember. The series was written to support
The Cambridge Preliminary English Test 5 practice tests provide candidates with an excellent opportunity to familiarise themselves with the 2004 PET exam and to practise examination techniques. The Student's Book contains practice material for Paper
Kid's Box 2nd ed Activity Book with Online Resources Level 5
English Plus: Level 1: Student's Book 1 The English Plus Student's Book provides plenty of carefully planned practice to build students' confidence whatever their ability. Extra material offers flexible options so that you can cater to different
Ferris Wheel Level 1 Activity Book The Ferris Wheel Activity Book offers further practice of all the language and content which has been introduced in the Student's Book.
Build conversation skills, with functional language in the new Fluency Time! sections - even see the conversations in action, on the Fluency DVD. Cross-curricular lessons present language in natural, real-life contexts. Students can take their
American Family And Friends: Level Five: Workbook We asked what teachers liked and what they wanted to change. They told us - and we listened. Fluency development. Cross-curricular lessons and projects. Online Play. Just a
Brighter Ideas 3 - Student Book With Online Practice Brighter Ideas is designed to engage students enquiring minds, encouraging them to participate in discussions about real-world topics, and achieve results. With a range of flexible
Prepare B1 Level 5 Workbook with Audio Download PREPARE 2nd edition Level 5 combines 'teen-appeal' topics with extensive preparation for the revised 2020 A2 Key for Schools exam. The Level 5 Workbook provides additional reading,
Big English AmE 2Ed Level 2 Value Pack (SB + WB) Big English is a 6-level, intensive primary course. Designed for achieving results, Big English provides a curriculum that delivers comprehensive English language acquisition underpinned
Let's Begin: Level 2: Student Book - 5th Edition Inspire students to enjoy learning in English with a trusted methodology and easy-to-use teaching tools. Let's Go 5th Edition provides lively and motivating activities and offers
Provides more practice to consolidate the Student Book Picture Dictionary (Levels 1-4) helps with vocabulary practice Grammar Reference Guide (Levels 5-6) offers more practice, and allows students and teachers to check grammar rules
Build conversation skills, with functional language in the new Fluency Time! sections - even see the conversations in action, on the Fluency DVD. Cross-curricular lessons present language in natural, real-life contexts. Students can take their
Build conversation skills, with functional language in the new Fluency Time! sections - even see the conversations in action, on the Fluency DVD. Cross-curricular lessons present language in natural, real-life contexts. Students can take their
Build conversation skills, with functional language in the new Fluency Time! sections - even see the conversations in action, on the Fluency DVD. Cross-curricular lessons present language in natural, real-life contexts. Students can take their
Build conversation skills, with functional language in the new Fluency Time! sections - even see the conversations in action, on the Fluency DVD. Cross-curricular lessons present language in natural, real-life contexts. Students can take their
Build conversation skills, with functional language in the new Fluency Time! sections - even see the conversations in action, on the Fluency DVD. Cross-curricular lessons present language in natural, real-life contexts. Students can take their
Everybody Up (2E) 5 Student Book Everybody Up gets students talking about the real world. Posters, videos, stories, and songs link English to other school subjects and universal values, developing global citizens with 21st century
Kid's Box Second edition Class Book With CD-ROM Starters
Let's Begin: Level 1: Workbook with Online Practice - 5th Edition Inspire students to enjoy learning in English with a trusted methodology and easy-to-use teaching tools. Let's Go 5th Edition provides lively and motivating activities
Big English AmE 2Ed Level 1 Value Pack (SB + WB) Designed for achieving results, Big English 2nd Edition (American English) delivers comprehensive English language acquisition alongside CLIL and broader life skills, supported by unique
English File: Beginner: Student's Book 4th Edition With Online Practice English File's unique, lively and enjoyable lessons are renowned for getting students talking. In fact, 90% of English File teachers we surveyed in our Oxford Impact
Prepares students for the Advanced Listening and Speaking tests. Part of the Improve your Skills series, this book prepares students through pronunciation focus, test questions and listening tasks, along with MPO for further practice online.
Family and Friends: Level 2: Class Book, Second Edition Features for Family and Friends 2nd edition include real-world fluency development with supporting DVD, interactive Online Practice, new and updated assessment and testing material, and additional
Oxford Discover: Level 6: Student Book Pack, 2nd Edition The Oxford Discover Student Book is packed full of interesting content to keep students of all abilities fully engaged and motivated. The Oxford Discover App offers
Everybody Up (2E) 2 Student Book Everybody Up gets students talking about the real world. Posters, videos, stories, and songs link English to other school subjects and universal values, developing global citizens with 21st century
Oxford Discover 2nd Edition: Level 1: Student Book Pack The Oxford Discover Student Book is packed full of interesting content to keep students of all abilities fully engaged and motivated. The Oxford Discover App offers
Oxford Discover: Level 4: Student Book Pack The Oxford Discover Student Book is packed full of interesting content to keep students of all abilities fully engaged and motivated. The Oxford Discover App offers a visual
Big English AmE 2Ed Level 3 Value Pack (SB + WB) Big English is a 6-level, intensive primary course. Designed for achieving results, Big English provides a curriculum that delivers comprehensive English language acquisition underpinned
Access is a four-level course (each level split into a and b) designed for learners studying English at beginner to intermediate level. Each split level consists of 50 modules and is designed to be covered
Build conversation skills, with functional language in the new Fluency Time! sections - even see the conversations in action, on the Fluency DVD. Cross-curricular lessons present language in natural, real-life contexts. Students can take their
American Family And Friends: Level Two: Student Book 2nd Edition We asked what teachers liked and what they wanted to change. They told us - and we listened. Fluency development. Cross-curricular lessons and projects. Online
Oxford Discover 2nd Edition: Level 3: Student Book Pack The Oxford Discover Student Book is packed full of interesting content to keep students of all abilities fully engaged and motivated. The Oxford Discover App offers
Family and Friends: Level 1: Class Book Features for Family and Friends 2nd edition include real-world fluency development with supporting DVD, interactive Online Practice, new and updated assessment and testing material, and additional culture focus
Supporting all teachers, developing every child. Teachers love Family and Friends. The clear structure, fast-paced language syllabus, engaging songs and stories, and comprehensive assessment resources make it one of the world's most popular courses for
Speeches that Made History is a collection of speeches, addresses, declarations and announcements that have shaped history. Some have changed the way people think, others have changed the course of events across the globe -
👁️ 71 | ⌚2025-09-28 01:30:02.087


Trận chiến đã kết thúc từ lâu, những thế hệ Việt Nam sinh ra từ sau thời khắc đó cũng đã trở thành lứa trung niên. Nhưng cuộc chiến 81 ngày đêm khốc liệt ở
Một người có thể đi du lịch khắp thế giới bởi vì có nhiều tiền, không hẳn là có tự do; mong muốn được tự do của anh ta một lần nữa chỉ đơn thuần
Vượn Trần Trụi CUỐN SÁCH MÀ KHÔNG CON VẬT NGƯỜI NÀO DÁM BỎ QUA. Ở đây là con Vượn Trần trụi với tất cả những gì nền tảng nhất của nó - trong tình yêu, trong công
Ở đây là con Vượn Trần trụi với tất cả những gì nền tảng nhất của nó - trong tình yêu, trong công việc và trong chiến tranh. Tìm hiểu con vật người đúng như bản chất
Vượn Trần Trụi - Cuốn Sách Mà Không Con Vật Người Nào Dám Bỏ Qua Ở đây là con Vượn Trần trụi với tất cả những gì nền tảng nhất của nó - trong tình yêu, trong
Sách - Gia Định Là Nhớ Sài Gòn Là Thương Công ty phát hành: First News - Trí Việt Nhà xuất bản: NXB Tổng hợp TP.HCM Tác giả: Cù Mai Công Hình thức: Bìa mềm
Những Kì Quan Của Thế Giới Hiện Đại Được Xây Dựng Như Thế Nào? - Bìa Cứng Những kì quan thế giới hiện đại được xây dựng như thế nào? *** Có rất nhiều kì
PRE-ORDER - HÀNG ĐẶT TRƯỚC DỰ KIẾN HÀNG VỀ: 10/10/2025 Trí tuệ nhân tạo (AI) đang làm thay đổi mọi lĩnh vực và giáo dục cũng không ngoại lệ. Nhưng AI không đến để thay
Sách - Bí Ẩn Của Não Phải Mỗi Đứa Trẻ Là Một Thiên Tài! Những Thành Tựu Của Phương Pháp Tiếp Cận Mới Nhất Trong Giáo Dục Đối với trẻ nhỏ việc giúp bé phát
The Little Book For Plant Parents - Bí Mật Nhỏ Cho Người Yêu Cây - Felicity Hart - (bìa mềm) - Giá bìa: 118.000đ I. GIỚI THIỆU SÁCH Felicity Hart Là tác giả và biên
Tập sách “Một trăm truyện tích nhân duyên” này nguyên bản tiếng Phạn nhan đề là Avadna-Cataka, nằm trong Đại tạng kinh Phật Giáo, và đã được phiên dịch ra nhiều thứ tiếng như Tây
Ca Dao Tục Ngữ Phật Giáo Việt Nam Trải suốt hơn 2000 năm từ khi du nhập, Phật giáo đã bắt rễ sâu rộng trên mặt đất Việt Nam, cùng với dân tộc trải qua
Sài Gòn một thuở "Dân Ông Tạ đó!" - Tập 1 Sài Gòn từ thuở sơ khai vốn là vùng đất mà dân tứ xứ khắp nơi quy tụ về. Mỗi nhóm người đến đây
Marketing Đột Phá (Tái Bản) Hoạt động marketing ngày nay đang thay đổi nhanh chóng. Tuy nhiệm vụ marketing vẫn là bổ sung giá trị và tăng lợi nhuận cho doanh nghiệp, nhưng marketing không
“Mẹ! Có nghĩa là mãi mãi Là - cho - đi - không - đòi - lại - bao - giờ” (Thanh Nguyên) Trong mỗi người chúng ta, mẹ không chỉ là người sinh ra
Điều Gì Ngăn Bạn Thành Công? Trong thời đại ngày nay, tự tin là một trong những yếu tố quan trọng giúp ta tiến về phía trước, thúc đẩy ta thực hiện các dự tính,
Sách - Món Quà Của Cái Chết Cuộc sống của Hải Yến bị đảo lộn khi cô phát hiện ra người đàn ông trong trái tim mình, thầy giáo cấp 2 của cô, bị giai
NCC: tCty Văn Hóa Việt Thư Tác giả: tTriệu Thị Chơi NXB: tNXB Hồng Đức Năm XB: t2021 Trọng lượng: t497(gr) Kích Thước:ìt26.5 x 19 cm Số trang: t240 Hình thức:tBìa Mềm Giới thiệu sản
Đồng dao cho bé - Các trò chơi dân gian - Các câu hát vè dân gian - Bé từ 3 đến trở lên (dành cho bé tập nói) Đồng dao cho bé tập nói