✨Sách - Bồi Dưỡng Năng Lực Toán 9 Tập 1 + Tập 2 Theo Chương Trình Mới (Dùng Chung Cho Các Bộ Sách)









THÔNG TIN CHI TIẾT
- Tác giả : Nhiều Tác Giả
- Nhà xuất bản : NXB Dân Trí
- Kích thước : 16 x 24 cm
- Số trang : Tập 1 (294 Trang) + Tập 2 (294 Trang)
- Loại bìa : Bìa mềm
- Công ty phát hành : Khang Việt
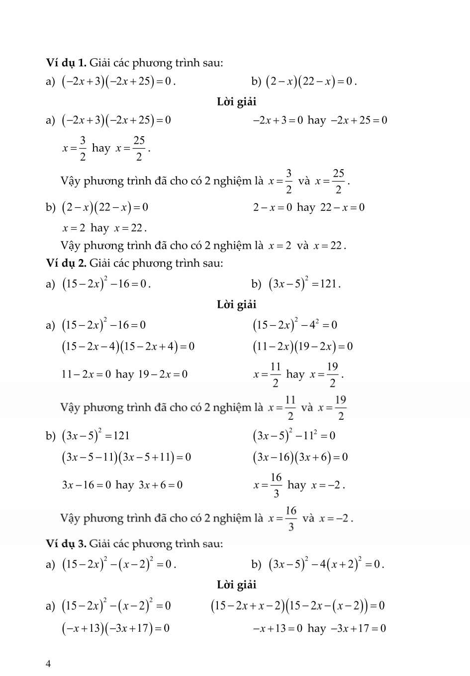
- Năm xuất bản : 2025 GIỚI THIỆU SÁCH Bắt đầu từ năm học 2024 – 2025 học sinh lớp 9 học theo chương trình sách giáo khoa mới. Sách giáo khoa mới nhấn mạnh đến rèn luyện tinh thần tự học của học sinh. Nội dung nhấn mạnh đến tính thực tế và ứng dụng toán học trong đời sống. Ngoài ra còn có một số dạng toán mới mà sách cũ không có. Để đáp ứng nhu cầu tự học của học sinh lớp 9 cũng như nguồn tài liệu cho các Giáo viên giảng dạy, chúng tôi mạnh dạn biên soạn cuốn sách “BỒI DƯỠNG NĂNG LỰC TOÁN 9 – TẬP 1”. Cấu trúc các bài tương tự như sách CHÂN TRỜI SÁNG TẠO, nội dung mỗi bài gồm các phần: A. TÓM TẮT LÝ THUYẾT: Lý thuyết được tóm tắt ngắn gọn, dễ hiểu. B. CÁC DẠNG TOÁN: Các dạng toán được giải chi tiết và có lời bình. C. BÀI TẬP TỰ LUYỆN: Các dạng bài tập trọng tâm từng bài được sắp theo thứ tự từ dễ đến khó để học sinh rèn luyện. D. BÀI TẬP TRẮC NGHIỆM: Các câu hỏi trắc nghiệm quan trọng học sinh cần giải để hiểu bài tốt nhất. E. HƯỚNG DẪN GIẢI BÀI TẬP TỰ LUYỆN – BÀI TẬP TRẮC NGHIỆM. Cuốn sách được biên soạn dựa trên kiến thức tổng hợp các bộ sách giáo khoa với lượng bài tập trong mỗi bài đầy đủ, đa dạng, được sắp xếp từ dễ đến khó với lời giải chi tiết. Vì vậy cuốn sách này đáp ứng được nhu cầu tự học của học sinh và cũng là tài liệu cần thiết để giáo viên tham khảo và giảng dạy.




Tên đề tài: Hoá Học Vô Cơ Nâng Cao, Tập Một - Lí Thuyết Đại Cương Về Hoá Học Tác giả: Hoàng Nhâm Năm tái bản: 2018 Khổ sách: 16 x 24 Số trang : 276 Nhà xuất bản
Combo Bộ Sách Tham Khảo Văn Mẫu Lớp 7 (Dùng Chung Cho Các Bộ SGK Hiện Hành) (Bộ 3 Cuốn) Những Bài Văn Đạt Điểm Cao Của Học Sinh Giỏi 7 (Dùng Chung Cho Các
Sổ tay tóm tắt môn học (notebook) là một công cụ học tập hiệu quả, đặc biệt hữu ích đối với học sinh trung học cơ sở (THCS). Ở giai đoạn này, khối lượng kiến
Sách - khám phá toán lớp 9 để học giỏi - tập 1 + 2 (dùng chung cho các bộ sgk hiện hành) - HA Các bạn học sinh thân mến! Theo tiến độ thực
NỘI DUNG SÁCH Chương 1. Chia hết, ước và bội Chương 2. Số nguyên tố, hợp số Chương 3. Số chính phương, số lập phương, căn thức Chương 4. Phương trình
Quý thầy, cô cùng các em học sinh thân mến! Với phương châm giúp học sinh phát triển phẩm chất và năng lực để vừa mở mang kiến thức vừa rèn luyện kỹ năng, cùng
SÁCH - Combo Phương Pháp Tư Duy Tìm Cách Giải Toán: Đại Số 8 + Hình Học 8 (Bộ 2 Cuốn) 1. Phương Pháp Tư Duy Tìm Cách Giải Toán Đại Số 8 2. Phương
Nhằm giúp các em học sinh ôn thi vào lớp 10 cũng như các em học sinh chuyên Toán có một tài liệu mang tính hệ thống để ôn luyện, nâng cao kỹ năng giải
phân Loại Và Giải Chi Tiết Các Dạng Bài Tập Toán Lớp 8 - Tập 1 + tập 2 Nội dung của mỗi tiết học đó là các định nghĩa, các công thức toán học,
Combo Bộ Đề Thi Chuyên Sinh Học 9 + Bồi Dưỡng Học Sinh Giỏi Sinh Học 9 - Phan Khắc Nghệ (Bộ 2 Cuốn) 1. Bộ Đề Thi Chuyên Sinh Học 9 Cuốn sách Bộ Đề
Combo Bộ Đề Ôn Thi Vào Lớp 10 THPT Môn Sinh Học + Bồi Dưỡng Học Sinh Giỏi Sinh Học 9 - Phan Khắc Nghệ (Bộ 2 Cuốn) - TÁI BẢN MỚI 1.Bộ Đề Ôn
Combo Bộ Đề Ôn Thi Vào Lớp 10 THPT Môn Sinh Học + Bồi Dưỡng Học Sinh Giỏi Sinh Học 9 - Phan Khắc Nghệ (Bộ 2 Cuốn) - TÁI BẢN MỚI 1.Bộ Đề Ôn
1. Bồi Dưỡng Học Sinh Giỏi Sinh Học 9 - Phan Khắc Nghệ Cuốn sách Bồi Dưỡng Học Sinh Giỏi Sinh Học Lớp 9 được viết bám sát chương trình Sinh học
Sách Tổng ôn khoa học tự nhiên lớp 9 chương trình mới cho 2k11 ôn thi vào 10 Moonbook 1. Nội Dung : Khi phân tích chương trình KHOA HỌC TỰ NHIÊN LỚP 9 có
Bộ sách "Combo 2 cuốn Tổng Hợp Chuyên Đề Trọng Tâm Thi vào 10 Chuyên và Học Sinh Giỏi Lớp 9 (2025)" là bộ sách tổng hợp đầy đủ và chi tiết các kiến thức trọng
THÔNG TIN CHI TIẾT - Tác giả : Nhiều Tác Giả - Nhà xuất bản : NXB Dân Trí - Kích thước : 16 x 24 cm - Số trang : Tập 1 (294 Trang)
Sách - Combo Bác Sĩ Zhivago - Tập 1+2 (Bộ 2 Cuốn) (Bản Dịch Đầy Đủ Nhất) - HA BỘ SÁCH BAO GỒM: 1. Bác Sĩ Zhivago - Tập 1 (Bản Dịch Đầy Đủ Nhất)
Sách - Combo Bác Sĩ Zhivago - Tập 1+2 (Bộ 2 Cuốn) (Bản Dịch Đầy Đủ Nhất) - HA BỘ SÁCH BAO GỒM: 1. Bác Sĩ Zhivago - Tập 1 (Bản Dịch Đầy Đủ Nhất)
Sách - Giải nhanh các chuyên đề hình học 9 tài liệu thi vào lớp 10 (dùng chung cho các bộ sgk hiện hành) - HA Để giúp các em ôn tập và nâng
Theo xu hướng tự chủ, hiện nay các trường đại học, học viện trong cả nước sử dụng nhiều phương thức tuyển sinh khác nhau, trong đó đặc biệt ưu tiên sử dụng kết quả
MÔ TẢ SẢN PHẨM Nhà phát hành: Nhà sách Hồng Ân 2 Nhà xuất bản: NXB Đại Học Sư Phạm Tác giả: Hoàng Xuân Nhàn Năm xuất bản: 2025 Loại bìa: bìa mềm Kích thước:
- Củng cố các kiến thức cơ bản có trong chương trình đã học trong sách giáo khoa -Rèn luyện thêm kỹ năng trình bày bài giải một cácch mạch lạc - Với
Combo Em Học Toán Lớp 6 + Bài Tập - Theo Chương Trình Giáo Dục Phổ Thông Mới (Bộ 4 Cuốn) Bộ sách gồm 4 cuốn: 1. Em Học Toán 6 - Tập 1 (Theo
Nội dung : - - đầy đủ các dạng thi tuyển sinh 2024 - - các sai lầm thường gặp của học sinh - - phân tích, định hướng lời giải đúng - -
Sách - Phân Loại Và Giải Chi Tiết Các Dạng Bài Tập Toán 7 Tập 1+ tập 2 ( Bám sát SGK Kết Nối Tri Thức Với Cuộc Sống ) Các tác giả cũng đặt
Sách - Combo những bài văn tham khảo lớp 9 - tác phẩm thơ + truyện ngoài sgk (dùng chung cho các bộ sgk hiện hành) - HA Các em học sinh thân mến! Văn
Sách - Combo những bài văn tham khảo lớp 9 - tác phẩm thơ + truyện ngoài sgk (dùng chung cho các bộ sgk hiện hành) - HA Các em học sinh thân mến! Văn
Sách - Combo Hướng Dẫn Giải Bài Tập Toán 5 + Hướng Dẫn Học Và Làm Bài Tiếng Việt 5 (Bám Sát SGK Chân Trời Sáng Tạo) (Bộ 4 Cuốn) - HA Combo Hướng Dẫn
Combo Hướng Dẫn Giải Violympic Toán - Tiếng Anh + Bộ Đề Luyện Thi Violympic Trạng Nguyên Tiếng Việt Lớp 4 (Bộ 3 Cuốn) 1. Hướng Dẫn Giải Violympic Toán 4 Giải Toán qua mạng
Sách - Hướng Dẫn Học Tốt Ngữ Văn 9 - Tập 2 (Bám Sát SGK Chân Trời Sáng Tạo) - HA Quý thầy cô cùng các em học sinh thân mến! Mặc dù
Combo Phân Loại Và Giải Chi Tiết Các Dạng Bài Tập Toán 6 (Tập 1+2) (Bám Sát SGK Kết Nối Tri Thức Với Cuộc Sống) Bộ sách bao gồm 2 cuốn: Phân Loại Và Giải
Hướng Dẫn Học Ngữ Văn 9 - Tập 1 (Dùng Kèm SGK Chân Trời Sáng Tạo) Hướng Dẫn Học Ngữ Văn 9 - Tập 2 (Dùng Kèm SGK Chân Trời Sáng Tạo) Mặc dù đã
Để giúp các em bớt đi phần nào lo lắng và khó khăn trước các kì thi, nhất là kì thi THPT Quốc Gia và xét tuyển vào Cao Đẳng, Đại Học, Học viện, tác
1. 200 Bài Toán Hình Học Lớp 9 Sách được viết theo chương trình giáo dục phổ thông mới, dùng chung cho các bộ sách Giáo khoa hiện hành với mục đích góp thêm các
Sách - Bồi dưỡng học sinh giỏi Toán lớp 7 Bộ sách được biên soạn bởi nhóm tác giả là những thầy cô giáo đã và đang giảng dạy ở các lớp chuyên Toán của
Mô tả sản phẩm Môn Khoa học tự nhiên được xây dựng và phát triển trên nền tảng các khoa học vật lí, hoá học, sinh học và khoa học Trái Đất. Đối tượng nghiên
THÔNG TIN SÁCH Công ty phát hành Nhà Sách Hồng Ân 2 Năm Xuất Bản 2023 Tác Giả Lê Thị Nương Kích Thước 17 x 24cm Nhà Xuất bản Đại Học Quốc Gia Hà Nội
Trong chương trình giáo dục phổ thông tổng thể 2018, cùng với các môn học khác, môn Ngữ văn cũng hướng tới dạy học phát triển năng lực và phẩm chất. Ở chương trình Ngữ
Công ty phát hành Nhà Sách Hồng Ân Tác Giả Kiều Bắc | Nguyễn Thị Hoa | Nguyễn Quốc Khánh Năm Xuất Bản 2024 Kích Thước 17 x 24 cm Nhà Xuất bản Hải Phòng
Combo Hướng Dẫn Học Và Giải Các Dạng Bài Tập Toán 9 Tập 1 + 2 (Bám Sát SGK Kết Nối Tri Thức Với Cuộc Sống) (Bộ 2 Cuốn) 1. Hướng Dẫn Học Và Giải
SÁCH - combo hướng dẫn học và phương pháp giải toán lớp 9 (bám sát sách giáo khoa chân trời sáng tạo bộ 2 cuốn) gồm hướng dẫn học và phương pháp giải toán lớp
Nhà sách Tuệ Tâm trân trọng giới thiệu sách: Phân loại và giải chi tiết các dạng bài tập Toán 9 (Kết nối tri thức với cuộc sống)! Nội dung của mỗi bài học đó
SÁCH - combo hướng dẫn học và phương pháp giải toán lớp 9 (bám sát sách giáo khoa chân trời sáng tạo bộ 2 cuốn) gồm hướng dẫn học và phương pháp giải toán lớp
NỘI DUNG SÁCH Cuốn sách được biên soạn theo từng bài học và chia làm 3 phần. Phần 1: Kiến thức cơ bản và ví dụ. Phần 2: Các dạng toán có phương pháp giải
combo Hướng dẫn học và làm bài làm văn Ngữ Văn 9 gồm Hướng dẫn học và làm bài làm văn Ngữ Văn 9 tập 1 Hướng dẫn học và làm bài làm văn Ngữ
Tác giả: Trịnh Văn Bằng Công ty phát hành: nhà sách Hồng Ân Số trang: 464 Nhà Xuất Bản: Đại Học Quốc Gia Hà Nội Năm xuất bản: 2024 Bìa mềm kích thước 17*24cm ------------------
Combo Toán Nâng Cao Lớp 9 (Bộ 2 Cuốn) 1. Toán Nâng Cao Đại Số 9 Đại số là mảng kiến thức rất quan trọng trong toán học phổ thông. Nhằm giúp các em học
Sách - Cảm thụ, phân tích tác phẩm văn học ngoài sách giáo khoa tác phẩm thơ + tác phẩm truyện - HA Sách - Cảm thụ, phân tích tác phẩm văn học ngoài sách
Sách - Combo Toán Nâng Cao Đại Số + Hình Học Lớp 8 (Dùng Chung Cho Các Bộ SGK Hiện Hành) (Bộ 2 Cuốn) - HA 1. Toán Nâng Cao Đại Số 8 (Dùng Chung
Bộ sách gồm 2 tập nhằm tập trung xây dựng, phát triển và mở rộng kiến thức nền tảng Toán học một cách hệ thống, dễ tiếp cận, giúp các em nắm được một cách
1. Nội dung sách tổng ôn toán học lớp 9 Tập 1 gồm 4 chương: - Chương 1: Căn bậc hai, căn bậc ba. - Chương 2: Hàm số bậc nhất. - Chương 3: Hệ
45 đề chinh phục kì thi vào 10 môn Khoa học tự nhiên 1. Nội Dung : .Cuốn sách được chia làm hai chương chính, mỗi chương có nội dung rõ ràng và mạch
1. Nội Dung Cuốn sách được nhóm tác giả biên soạn dựa trên cấu trúc ĐỀ MINH HOẠ KỲ THI TUYỂN SINH LỚP 10 THPT THEO CHƯƠNG TRÌNH GDPT 2018 mà các SỞ GIÁO DỤC
1. Nội dung sách tổng ôn toán học lớp 9 Tập 1 gồm 4 chương: - Chương 1: Căn bậc hai, căn bậc ba. - Chương 2: Hàm số bậc nhất. - Chương 3: Hệ
1. Nội dung sách Tổng ôn tiếng anh lớp 9 chương trình mới cho 2k10 ôn thi vào 10 Bộ sách Tổng ôn tiếng anh 9 bao gồm 3 tập: + Tập 1: Tổng ôn
Chuyên Đề Bài Tập - Khoa Học Tự Nhiên 7 (Dùng Cho Chương Trình GDPT Mới) Quý Thầy Cô cùng quý phụ huynh kính mến! Các em học sinh thân mến! Năm học 2022 -
Đây là cuốn sổ tổng hợp đầy đủ kiến thức lý thuyết của 5 môn toán lý hóa văn anh giúp các em tra cứu và tổng hợp kiến thức dễ dàng - Khi ôn
Chuyên Đề Bài Tập - Khoa Học Tự Nhiên 7 (Dùng Cho Chương Trình GDPT Mới) Quý Thầy Cô cùng quý phụ huynh kính mến! Các em học sinh thân mến! Năm học 2022 -
Sách - Chinh phục câu hỏi lí thuyết hóa học theo chủ đề ôn thi THPT quốc gia (dùng chung các bộ sgk hiện hành) - HA Các em học sinh thân mến! Trong đề
Sách Tinh tuyển Những bài văn Học sinh giỏi Quốc gia 2025 Cuốn sách này là bộ sưu tập 50 bài văn xuất sắc của các thí sinh đạt giải Nhất, Nhì trong kỳ thi
👁️ 122 | ⌚2025-10-13 00:18:02.148
bài toán của thiên tài
Mẹo để tăng trí nhớ, học thuộc nhanh, nhớ lâu cho các bạn đây #Shorts
Tập 72: Thử tài Toán học ✨♨️🥰 #shorts #shortvideo #fyp #maths #toanhoc #toanthaymanhhung #hschool
Ôn tập kiến thức trọng tâm hệ thức lượng trong tam giác vuông Toán lớp 9 - Thầy Bùi Minh Mẫn
Hệ thức lượng trong tam giác vuông Bồi dưỡng HSG Toán 9 - Thầy Trần Ngọc Hà
Chứng minh Định Lý Pytago bằng thí nghiệm thực tế | Bạn biết không #shorts

bài toán của thiên tài
Mẹo để tăng trí nhớ, học thuộc nhanh, nhớ lâu cho các bạn đây #Shorts
Tập 72: Thử tài Toán học ✨♨️🥰 #shorts #shortvideo #fyp #maths #toanhoc #toanthaymanhhung #hschool
Ôn tập kiến thức trọng tâm hệ thức lượng trong tam giác vuông Toán lớp 9 - Thầy Bùi Minh Mẫn
Hệ thức lượng trong tam giác vuông Bồi dưỡng HSG Toán 9 - Thầy Trần Ngọc Hà
Chứng minh Định Lý Pytago bằng thí nghiệm thực tế | Bạn biết không #shorts

Đầu phun nước nghệ thuật tạo hình cột nước sủi bọt. Cột nước phun lên có bọt khí, tạo cảnh quan và tạo hình tươi mới, hiện đại. Có thể sử dụng kèm đèn âm
Tác giả: Jules Verne Nhà xuất bản: Vintage Năm xuất bản: 2011 Loại bìa: Bìa mềm Số trang: 164 Trang Ngôn ngữ: Tiếng Anh ISBN: 9781784874674 Jules Verne’s 20,000 Leagues Under The Sea is not only a classic
Với thiết kế kiểu dáng trẻ trung, họa tiết đáng yêu, chất liệu cao cấp, bộ đồ bơi đôi này sẽ mang đến cho bạn và bé trải nghiệm tuyệt vời nhất tại những hồ
TÚI NƯỚC TẨY LỒNG MÁY GIẶT SIÊU SẠCH ROCKET 390ML - HÀNG NỘI ĐỊA NHẬT BẢN (Sản phẩm được nhập khẩu trực tiếp từ Nhật Bản) ■ Xuất xứ: Nhật Bản | MADE IN JAPAN ■ NSX: Rocket
MÔ TẢ SẢN PHẨM: TÚI ĐỰNG ĐỒ CẤP CỨU 1. Giới thiệu sản phẩm Túi đựng đồ cấp cứu là một giải pháp chuyên dụng giúp tổ chức và vận chuyển dụng cụ y tế
VÒNG TAY BẢN VUÔNG NHIỀU MÀU NHIỀU SIZE CHO CÁC MỆNH KIM MỘC THỦY HỎA THỔ 1. Tên: Vòng tay ĐÁ THẬT, NGỌC THẬT của Việt nam, chế tác thủ công từ tảng đá nguyên
Kiểu dáng kính thể thao Thiết kế chắc chắn, siêu nhẹ, ôm vào mặt tăng mức độ bảo vệ tối đa • Các phiên bản ống kính rõ ràng có lớp phủ chống trầy xước
Mô Tả Sản Phẩm Giao tiếp: Tương thích với cáp UTP Cat 5.Tương thích với chuẩn IEEE 802.3, 802.3U, 802.3AB. Hỗ trợ điều khiển dòng Full Duplex (IEEE 802.3X). Hỗ trợ IEEE 802.1P Layer 2
Áo được may phối màu ở phần cổ áo, vai áo và đường phối viền ở ngực áo Áo có hai túi to trước ngực có nắp đậy, có khóa kéo tiện dụng. Áo cài
Giày cầu lông 002TSX cho độ bám sàn tốt cũng như có độ bền cùng độ dẻo dai cao, là chọn lựa lý tưởng của những bạn nam yêu thích thể thao. Đặc biệt, thiết
Giày cầu lông bóng bàn 002ST Sử dụng: chơi cầu long, chơi bóng bàn Chất liệu: Vải , Da PU và Đế Cao Su Size: 38 - 43 Màu: Xám, Trắng Sản phẩm như hình
Giày đá bóng futsal mới màu xanh quân đôi cho độ bám sàn tốt cũng như có độ bền cùng độ dẻo dai cao, là chọn lựa lý tưởng của những bạn nam yêu thích
1. Thông tin sản phẩm: ️Thương hiệu: PGM ️ Găng tay golf nam: ST001 ️Màu sắc: Trắng xám ️Giới tính: nam ️Trọng lượng khoảng: 50 g ️Size: 22,23,24,25,26,27 2. Chất liệu sản phẩm: - Găng
1. Thông tin sản phẩm: ️Thương hiệu: PGM ️ Găng tay golf nam: ST001 ️Màu sắc: Trắng xám ️Giới tính: nam ️Trọng lượng khoảng: 50 g ️Size: 22,23,24,25,26,27 2. Chất liệu sản phẩm: Găng tay
NỆM THẢM GIƯỜNG XINH NEON 3D SIÊU ÊM CAO CẤP DƯỚI 6KG DÀNH CHO THÚ CƯNG CHÓ MÈO 1. Thiết kế : Kiểu dáng nệm vuông cho các bé, có thành cho các bé tựa
Nước Mắm Cá Thu truyền thống 29 độ đạm, hộp 4 chai, dung tích 650ml/chai. THÔNG TIN SẢN PHẦM : - Nước mắm cá thu được sản xuất theo công thức cổ truyền, phân giải
- Cung cấp chiết xuất cây Yucca giúp hấp thu nhanh khí độc ammonia trong nước, làm nhẹ nước, tăng khả năng hòa tan oxy cho nước ao nuôi. - Đẩy nhanh quá trình Nitrate hóa trong
HELLO CAT TUNA 400G Quy cách đóng gói: 400G, 2KG Dành cho mèo mọi lứa tuổi. Độ ẩm: 8.5% tối đa. Thành phần dinh dưỡng: Đạm 30%, béo 9%, chất xơ 4%,... Công dụng: Các
- Sữa Tươi Tiệt Trùng Vinamilk Green Farm - Sữa Tươi 100% Ít Đường 110ml cao cấp mới với nguồn sữa tươi 100% thuần khiết từ hệ thống trang trại sinh thái Vinamilk Green Farm
--------------- CHI TIẾT SẢN PHẨM ✿ Sản phẩm : Áo yếm chất thun co giãn nhẹ dáng ôm dễ phối đồ Moon Miều Est.2013 ✿ Chất liệu : Thun ✿ Màu sắc : VÀNG /